Globally, contamination of freshwater ecosystems by agricultural chemicals has become a critical environmental and public health concern. The intensification of agriculture has led to the widespread use of synthetic fertilisers, herbicides, and insecticides, profoundly altering nutrient cycles and introducing persistent toxic compounds into aquatic systems [1], [2]. These inputs promote eutrophication, harmful algal blooms, and sublethal to lethal exposures for aquatic organisms [3], [4]. Recent studies have emphasised that agricultural runoff not only increases nutrient loads but also introduces complex mixtures of agrochemicals, trace metals, and pharmaceuticals that threaten freshwater biodiversity and ecosystem functioning [4], [5].
Sediments play a dual role in this context, acting both as long-term sinks and as secondary sources of contaminants. Under changing redox conditions or hydrological regimes, accumulated pollutants can be remobilised into the water column, thereby prolonging exposure and amplifying ecological impacts [6], [7]. This dynamic behaviour is significant in wetlands, which function as biogeochemical hotspots where redox oscillations and organic-rich substrates enhance contaminant interactions and bioa vailability [8], [9].
Contemporary non-target screening has revealed that sediments often contain complex contaminant mixtures such as pesticides, herbicides, trace metals, and pharmaceutical residues, that interact additively or synergistically, creating risks that single-compound assessments underestimate [10], [11]. While nutrient-driven eutrophication has been extensively studied, integrated investigations examining both pesticide residues and toxic trace elements remain limited, particularly in tropical and subtropical wetlands [12]. Such gaps hinder our ability to understand contaminant pathways, persistence, and ecological risks fully [13], [14].
In Africa, where agricultural intensification and irrigation expansion are accelerating, the majority of research has focused on crop productivity rather than on environmental consequences. Integrated studies linking agricultural practices, contaminant transport, and ecological effects are still rare [15], [16]. Wetlands, crucial for biodiversity and hydrological regulation, remain underrepresented in monitoring programs despite their high vulnerability to agricultural runoff [17]. Recent field investigations have reported the occurrence of more than 20 pesticide compounds, including banned organophosphates, in the Lake Naivasha Basin (Kenya), with concentrations exceeding ecological safety thresholds [18]. Similarly, Musa et al. [19] documented elevated levels of insecticides and heavy metals in Nigerian wetland sediments, posing both ecological and public health risks [20], [21].
Studies in Mediterranean coastal wetlands and constructed wetland systems further indicate that natural reed beds can mitigate contaminant loads through sorption and biodegradation processes [5]. However, removal efficiency varies widely depending on hydrology, vegetation, and sediment composition, underscoring the importance of site-specific characterisation [22].
Collectively, recent findings underscore three urgent priorities for wetland-contaminant research [23]. First, there is a need for integrated, multi-class chemical surveys that simultaneously quantify nutrients, pesticide residues, transformation products, and trace metals in sediments and associated biota. Second, high-resolution spatial-temporal studies are required to capture the effects of seasonal hydrological variability and land-use dynamics on contaminant fate and transport. Third, comprehensive ecological risk assessments are essential for translating chemical exposure data into measurable impacts on aquatic organisms and ecosystem functions.
The present study contributes to filling this knowledge gap by providing an integrated assessment of agrochemical contamination in wetland sediments. Specifically, it focuses on (i) quantifying concentrations of selected toxic trace metals (Pb, Cd, Hg) and pesticide residues across multiple stations and sampling periods; (ii) analysing their spatial and temporal variability to identify potential contamination sources; and (iii) evaluating their ecological implications for aquatic biodiversity. By coupling detailed chemical analyses with ecological risk assessment, this work aims to generate baseline data essential for wetland conservation and the promotion of more sustainable agricultural practices.
This section presents the materials and methods used for the sampling and analysis of sediments in the Djoudj National Bird Park. It describes the sampling sites and stations, the parameters measured, as well as the analytical protocols for trace metals and pesticides. The statistical approaches employed to evaluate spatial and temporal variations of the parameters are also detailed.
Sediment samples were collected from six sites during three distinct sampling campaigns, each aligned with the drainage cycles of rice paddies surrounding the park (Figure 1). The first sampling campaign was conducted in August 2019, approximately two weeks after the sluice gates were opened. This timing allowed canoe access to the sampling sites, but it preceded the start of active drainage from the rice fields. The second campaign took place in November 2019, roughly two weeks after the rice paddies had been fully drained and just before the harvest, when agricultural inputs and residues were likely to be transported into adjacent waterways. The third campaign was conducted in February 2020, following the second round of fertiliser application and pesticide treatment, as well as the subsequent drainage of paddies located within the park boundaries. In addition to sediment collection, in situ measurements of key physicochemical water parameters were conducted at all sampling sites. These included temperature, salinity, dissolved oxygen (DO) and pH. Measurements were taken using a YSI multiparameter water quality probe, calibrated prior to each session. These parameters serve as essential baseline indicators for characterising the aquatic environment and understanding contaminant behaviour, particularly with regard to solubility, mobility and bioavailability.
Map of the Djoudj National Bird Park (PNOD) with different sampling stations
The chemical analysis of the samples was performed following the standardised protocols of the United States Environmental Protection Agency (USEPA). These internationally recognised methods ensure the reliability, reproducibility, and comparability of the results obtained. Specifically, USEPA Method 3050B (1996) was employed for acid digestion and the determination of heavy metals, while USEPA Method 8081B (2007) was utilised for the extraction and quantification of pesticides.
For each sediment sample, 1.5 g was digested in Pyrex volumetric flasks using a mixture of 15 mL of 65% nitric acid (HNO3), 3 mL of hydrochloric acid (HCl) and 0.5 mL of perchloric acid (HClO4), followed by the addition of 6 mL of 1% nitric acid. The resulting solution was diluted to a final volume of 50 mL with acidified water (0.1 N). Targeted metal concentrations were determined using atomic absorption spectrometry (AAS 110), calibrated with certified analytical standards for each target metal. Calibration curves were prepared individually for each element, and fortified (spiked) samples were analysed to assess recovery rates, with spike concentrations maintained within the calibration range. The limits of quantification (LOQ) were 0.05 mg/kg for lead (Pb), 0.005 mg/kg for cadmium (Cd) and 0.01 mg/kg for mercury (Hg). Lead and cadmium were measured using a graphite furnace, while mercury was quantified using cold vapour atomic absorption.
The pesticides were extracted from homogenised samples using a modified QuEChERS protocol (AOAC), as described by [19]. Extracts were analysed using gas chromatography-mass spectrometry (GC/MS) on a Varian model 1200 system, with a DB-5MS capillary column (30 m × 0.25 mm × 0.25 µm). Injections were performed in splitless mode (1 μL), with injector and source temperatures set at 295 °C and 280 °C, respectively. Mass scanning was conducted from 50 to 500 m/z, using helium as the carrier gas at a constant flow of 1 mL/min. Pesticide quantification was performed using selective reaction monitoring (SRM). All reagents and standards were provided by Sigma-Aldrich.
A strict QA/QC protocol was applied to ensure the accuracy and reliability of ETM and pesticide analyses. For pesticides, three test samples were prepared from a homogenised reference material to assess analytical accuracy. One sample was spiked with 1 µL of a standard solution at 2,000 µg/mL, while the two others remained unspiked. Recovery rates were calculated accordingly and ranged from 81% to 95%. The detection limit was set at 40 ng/g dry mass. For ETMs, multi-element calibration was performed using single-element standard solutions (SCP Sciences). To ensure instrument stability and analytical precision, standard solutions were injected after every three samples during analysis.
To assess the distribution of the environmental and chemical data, the Shapiro-Wilk normality test was applied to all variables. Only temperature and dissolved oxygen exhibited a normal distribution (p > 0.05). Therefore, a one-way analysis of variance (ANOVA) was performed to detect potential spatiotemporal differences in these parameters. In contrast, other variables, including salinity, pH and the concentrations of Pb, Cd and Hg, did not meet the normality assumption. Accordingly, the non-parametric Kruskal-Wallis test was used to compare these variables across sampling sites and/or periods. All statistical analyses were conducted using R software (version 4.3.3), with a significance threshold of 5% (p < 0.05). In addition to the statistical tests, a Spearman correlation analysis was performed to assess the relationships between environmental variables and trace metal concentrations.
This section presents the results obtained from analysing and processing the collected data. It is organised into four subsections describing the current status of PNOD, spatiotemporal variations of environmental parameters, trace metal concentrations, and pesticide residues.
Covering approximately 16,000 hectares, the Djoudj National Bird Sanctuary (PNOD) is one of the most important wetlands in West Africa. It was designated a UNESCO World Heritage Site in 1981 and listed as a Ramsar Wetland of International Importance in 1980. The sanctuary comprises a complex mosaic of shallow lakes, floodplains, backwaters, and reed-covered marshes, serving as a critical stopover and wintering site for millions of migratory birds along the East Atlantic Flyway. However, the area occupied by agricultural developments has increased dramatically, expanding from 55 km² between 1974 and 1996 to 224.66 km2 in 2016, representing a 308% increase. This expansion, driven by Senegal’s national policy of rice self-sufficiency, now occupies approximately 22.6% of the park’s buffer zone (Figure 2). The high density of rice irrigation plots within and around the buffer zone has resulted in water pollution in the PNOD. This contamination has facilitated the proliferation of invasive aquatic plants (IAPs) such as Typha australis and Phragmites vulgaris. The spread of these species not only alters wetland hydrology and habitat structure but also poses a significant threat to aquatic fauna, potentially adversely affecting the health of local communities that rely on these waters for domestic and subsistence purposes.
Hydro-agricultural developments around the Djoudj National Bird Park (PNOD) from 1996 to 2016
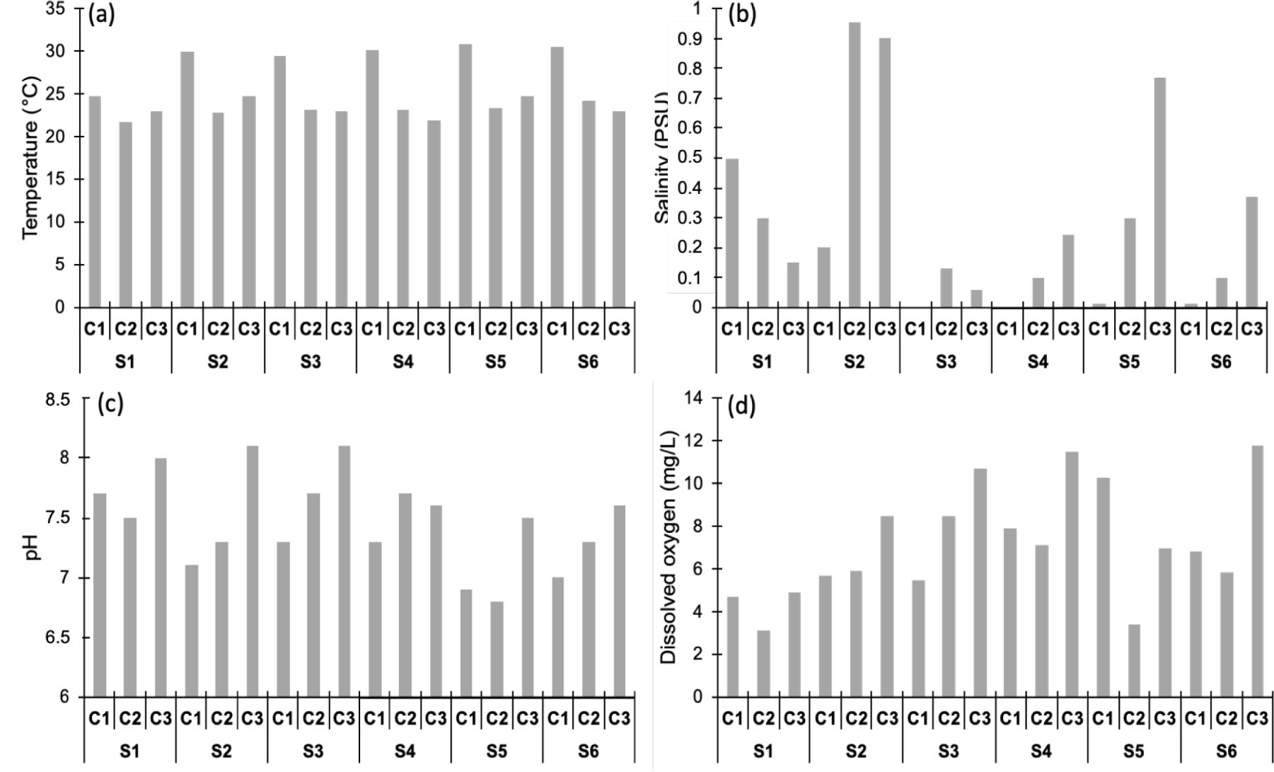
The analysis of the main physicochemical parameters measured at six stations (S1 to S6) over three sampling campaigns (C1 to C3) reveals notable spatial and temporal variability within the study area, as shown in Figure 3. Water temperature, ranging from 30 to 34 °C (Figure 3a), appeared generally homogeneous across stations (p > 0.05), but showed significant differences between campaigns (p < 0.05). Regarding salinity, all recorded values were below 1, indicating predominantly freshwater conditions, as illustrated in Figure 3b. Statistical tests revealed spatial homogeneity (p > 0.05) but significant temporal heterogeneity (p < 0.05). The pH range of 6.8 to 8.1 indicates a generally neutral to slightly alkaline environment Figure 3c. No significant differences were observed between stations (p > 0.05), while temporal variations were statistically significant (p < 0.05). Dissolved oxygen concentrations varied markedly across stations and campaigns, ranging from approximately 3 mg/L to over 12 mg/L, see Figure 3d. Despite these apparent differences, no statistically significant variation was detected either spatially or temporally (p > 0.05).
Spatio-temporal variation of temperature, salinity, pH and DO across six sampling stations (S1-S6) during three sampling campaigns (C1-C3) within the Djoudj National Bird Park
Table 1 summarises the levels of Cd, Hg and Pb in sediments within the PNOD. Lead displayed exceptionally high concentrations, with a mean of 2,606.67 ± 1,992.51 µg/kg, ranging from 380.00 µg/kg to 7,320.00 µg/kg as the minimum and maximum values, respectively. Cadmium exhibited a relatively low average concentration of 23.75 ± 12.76 µg/kg, with a limited range of variation (minimum: 8.00 µg/kg and maximum: 47.00 µg/kg). Mercury showed a higher mean value of 41.06 ± 36.12 µg/kg and significantly greater variability, with concentrations ranging from 6.00 to 160.00 µg/kg.
Mean concentrations, in µg/kg, of trace metals (Cd, Hg, Pb) with their standard deviations and observed ranges (min max) in sediments from Djoudj National Bird Park
|
Metal |
Mean |
St. Dev. |
Min. |
Max. |
|---|---|---|---|---|
|
Cd |
23.75 |
12.76 |
8.00 |
47.00 |
|
Hg |
41.06 |
36.12 |
6.00 |
160.00 |
|
Pb |
2,606.67 |
1,992.51 |
380.00 |
7,320.00 |
These trace metals were characterised by clear temporal and spatial variations, as shown in Figure 4. Undetected during the first campaign, Cd peaked at 33.0 µg/kg in the second campaign before decreasing to 14.5 µg/kg in the third (Figure 4a). Mercury showed a continuous upward trend, rising from 18.83 µg/kg in the first campaign to 50.4 µg/kg in the second and 55.5 µg/kg in the third, as illustrated in Figure 4b. Lead exhibited the most pronounced shift, as it was undetectable during the first campaign, surged to 1,965 µg/kg in the second, and further increased to 3,248.33 µg/kg in the third, see Figure 4c. Seasonal comparisons showed significant differences (Kruskal-Wallis test, p < 0.05) in Cd, Hg and Pb.
Temporal and spatial variations in trace metal concentrations in the Djoudj National Bird Park (PNOD) sediments, where nd means not detected; as the measured values vary significantly from one campaign or station to another, the standard deviat
According to their spatial distribution, differences in Cd concentrations appear to be limited, while Hg and Pb show substantial and high variability, respectively. Cadmium concentrations ranged from 16.5 µg/kg at S5 to 30.5 µg/kg at S3, as shown in Figure 4d. Regarding mercury, the lowest values were recorded at S1 (20.5 µg/kg) and S5 (21.67 µg/kg); Figure 4e shows that the highest concentration (83.33 µg/kg) was detected at S3, followed by elevated levels at S6 (45.67 µg/kg) and S4 (40.33 µg/kg). Lead concentrations were particularly high across all stations, ranging from 1,810 µg/kg (S5) to a peak of 5,080 µg/kg at S2, as illustrated in Figure 4f; stations S1 and S5 (1,840 µg/kg and 1,810 µg/kg, respectively) showed the lowest values, while S2 clearly stood out with levels more than twice as high as the average across the other stations. In contrast to the significant seasonal differences observed, spatial variations in trace metal concentrations were not statistically significant (p > 0.05).
Spearman correlation analysis revealed several significant relationships between physicochemical parameters and trace metal concentrations in the aquatic environment, as illustrated in Figure 5. Water temperature exhibited strong negative correlations with cadmium (r = 0.75; p < 0.05) and lead (r = 0.72; p < 0.05). In contrast, salinity showed significant positive correlations with both lead (r = 0.68; p < 0.05) and cadmium (r = 0.61; p < 0.05). No significant correlations were found between mercury and the environmental parameters. Moreover, positive inter-metal correlations were observed, particularly between cadmium and mercury (r = 0.52; p < 0.05), as well as between cadmium and lead (r = 0.67; p < 0.05).
Spearman’s correlation between trace metal concentrations and corresponding physicochemical parameters in the Djoudj National Bird Park (PNOD); *** p-value < 0.001, ** p-value < 0.01, and * p-value < 0.05
The analysis of pesticide residue concentrations in sediments across three successive sampling campaigns revealed considerable variability in both the diversity and levels of contamination (Table 2). Campaign 1 was characterised by the sporadic detection of several compounds, including bensulfuron-methyl (1,516.67 ± 1,676.21 µg/kg), deltamethrin (806.67 ± 1975.92 µg/kg), profenofos, 2,4-D, and lindane. Campaign 2 was distinguished by an exceptionally high concentration of dicofol (197,865.00 ± 204,575.19 µg/kg). Campaign 3 exhibited the highest diversity of pesticides, with nine active substances detected. Among these, several showed particularly elevated concentrations, notably malathion (47,400 ± 41,903.51 µg/kg), permethrin (33,150 ± 16,352.75 µg/kg), dimethoate (6,233.83 ± 8,337.89 µg/kg), and pendimethalin (5,356.67 ± 10,148.42 µg/kg).
Temporal variation in pesticide residue concentrations in µg/kg, in sediments across the sampling campaigns (C1 C3) in the Djoudj National Bird Park (PNOD), where symbol nd means not detected; as the measured values vary greatly from one campaig
|
Pesticide |
Chemical family |
C1 |
C2 |
C3 |
|---|---|---|---|---|
|
2,4-D |
Phenoxy herbicide |
200.00±489.90 |
nd |
6.67±16.33 |
|
Aldrin |
Phenoxy herbicide |
nd |
51.67±89.98 |
nd |
|
Bensulfuron-methyl |
Organochlorine (banned) |
1,516.67±1676.21 |
nd |
nd |
|
Chlorpyrifos-ethyl |
Sulfonylurea |
nd |
nd |
nd |
|
Cypermethrin |
Organophosphate |
nd |
nd |
726.67±819.33 |
|
DDT |
Pyrethroid |
nd |
nd |
nd |
|
Deltamethrin |
Organochlorine (banned) |
806.67±1,975.92 |
nd |
nd |
|
Dicofol |
Pyrethroid |
nd |
197,865.00 ±204,575.19 |
50.00±122.47 |
|
Dieldrin |
Organochlorine derivative |
nd |
nd |
nd |
|
Dimethoate |
Organochlorine (banned) |
nd |
nd |
6,233.83 ±8,337.89 |
|
Lindane |
Organophosphate |
25.00±61.23 |
105.00±57.53 |
73.33±148.01 |
|
Malathion |
Organochlorine (banned) |
nd |
nd |
47,400.00 ±41,903.51 |
|
Pendimethalin |
Organophosphate |
nd |
nd |
5,356.67 ±10,148.42 |
|
Permethrin |
Dinitroaniline |
nd |
nd |
33,150.00 ±16,352.75 |
|
Pirimiphos-methyl |
Pyrethroid |
nd |
nd |
nd |
|
Profenofos |
Organophosphate |
566.67±1,388.04 |
nd |
nd |
|
Propanil |
Organophosphate |
nd |
nd |
231.67±211.41 |
The analysis of pesticide concentrations across six stations (S1 to S6) reveals a heterogeneous contamination pattern, both in terms of compound diversity and concentration levels (Table 3). Among the 17 monitored pesticides, dicofol, malathion, and permethrin were the most frequently detected, often occurring at notably high concentrations.
Spatial variation in pesticide residue concentrations (in µg/kg) in sediments across six sampling stations (S1-S6) in the Djoudj National Bird Park (PNOD), where symbol nd means not detected; as the measured values vary greatly from one station to another, standard deviations may be larger than the mean values
|
Pesticide |
Chemical family |
S1 |
S2 |
S3 |
S4 |
S5 |
S6 |
|---|---|---|---|---|---|---|---|
|
2,4-D |
Phenoxy herbicide |
13.33 ±23.09 |
nd |
400.00 ±692.82 |
nd |
nd |
nd |
|
Aldrin |
Phenoxy herbicide |
nd |
nd |
73.33 ±127.01 |
30.00 ±51.96 |
nd |
nd |
|
Bensulfuron-methyl |
Organochlorine (banned) |
1000.00 ±11732.05 |
nd |
1133.33 ±1962.99 |
nd |
900.00 ±1558.84 |
nd |
|
Chlorpyrifos-ethyl |
Sulfonylurea |
nd |
nd |
nd |
nd |
nd |
nd |
|
Cypermethrin |
Organophosphate |
453.33 ±785.20 |
600.00 ±1039.23 |
nd |
nd |
nd |
400.00 ±692.84 |
|
DDT |
Pyrethroid |
nd |
nd |
nd |
nd |
nd |
nd |
|
Deltamethrin |
Organochlorine (banned) |
nd |
nd |
nd |
nd |
nd |
1613.33 ±2794.37 |
|
Dicofol |
Pyrethroid |
173333.33 ±300222.14 |
27433.33 ±47256.36 |
128333.33 ±222279.85 |
2476.67 ±4289.71 |
29000.00 ±50229.47 |
35253.33 ±61060.56 |
|
Dieldrin |
Organochlorine derivative |
nd |
nd |
nd |
nd |
nd |
nd |
|
Dimethoate |
Organochlorine (banned) |
nd |
6733.33 ±11662.47 |
4200.00 ±7274.61 |
334.33 ±579.10 |
nd |
1200.00 ±2078.46 |
|
Lindane |
Organophosphate |
63.33 ±109.70 |
23.33 ±40.41 |
176.67 ±185.56 |
86.67 ±56.86 |
26.67 ±46.19 |
30.00 ±51.96 |
|
Malathion |
Organochlorine (banned) |
12000.00 ±20784.61 |
28000.00 ±48497.42 |
37000.00 ±64085.88 |
3733.33 ±6466.32 |
1400.00 ±2424.87 |
12666.67 ±21939.31 |
|
Pendimethalin |
Organophosphate |
nd |
nd |
816.67 ±1414.51 |
133.33 ±230.94 |
1140.00 ±1974.54 |
8623.33 ±14936.05 |
|
Permethrin |
Dinitroaniline |
11666.67 ±20207.26 |
10066.67 ±17435.98 |
11113.33 ±19248.86 |
1266.67 ±2193.93 |
16653.33 ±28844.42 |
15533.33 ±26904.52 |
|
Pirimiphos-methyl |
Pyrethroid |
nd |
nd |
nd |
nd |
nd |
nd |
|
Profenofos |
Organophosphate |
nd |
nd |
nd |
nd |
nd |
1133.33 ±1962.99 |
|
Propanil |
Organophosphate |
90.00 ±155.88 |
140.00 ±242.49 |
nd |
nd |
63.33 ±109.70 |
170.00 ±294.44 |
Station 3 exhibited the broadest range of detected pesticides (9 compounds), with particularly elevated concentrations of dicofol (128,333.33 ± 222,279.85 µg/kg), malathion (37,000 ± 64,085.88 µg/kg), and permethrin (11,113.33 ± 19,248.86 µg/kg). Station 1 also showed substantial contamination, notably with dicofol (173,333.33 ± 300,222.14 µg/kg), malathion (12,000 ± 20,784.61 µg/kg), and permethrin (11,666.67 ± 20,207.26 µg/kg). Although Station 6 showed fewer substances overall, it recorded considerable levels of deltamethrin (1,613.33 ± 2,794.37 µg/kg), pendimethalin (8,623.33 ± 14,936.05 µg/kg), and permethrin (15,533.33 ± 26,904.52 µg/kg). Lindane, a persistent organochlorine pesticide, was detected in all six stations, albeit at moderate concentrations (ranging from 23.33 to 176.67 µg/kg). Additionally, dimethoate, a toxic organophosphate, was detected in five stations, with the highest concentration found in S2 (6,733.33 ± 11,662.47 µg/kg).
This study offers new insights into the nature and extent of chemical contamination associated with agricultural drainage in the Djoudj National Bird Sanctuary (PNOD), a Ramsar site of global ecological significance. These findings reveal a clear pattern of spatiotemporal variability in both trace metal and pesticide concentrations in sediments, with evidence of acute contamination episodes following irrigation and drainage cycles. These results confirm the vulnerability of protected wetlands adjacent to intensive agricultural systems, particularly in regions where environmental regulation and wastewater management are limited.
The concentrations of Pb, Cd and Hg measured in the sediments of PNOD frequently exceeded natural background levels typically reported for African wetlands [24], [25]. Lead concentrations were particularly elevated during the dry season (Campaign 3), reaching values over 7,000 µg/kg at certain stations. Such peak values have previously been attributed to agro-industrial runoff, erosion of irrigation channels, and atmospheric deposition from vehicular emissions over cultivated areas [26], [27]. Even if these values remain well below the probable effect level (PEL) of 35,000 µg/kg recommended by the Canadian Council of Ministers of the Environment [28], they are still considered high for wetland environments. Comparable levels of lead contamination have been documented in other Senegalese regions, such as the Petite Côte and the Saloum estuary, where they have been linked to the use of phosphate fertilisers, pesticide residues, and informal battery recycling activities [29].
Cadmium and mercury were also present at concentrations exceeding regional geochemical baselines. Cadmium showed a peak during the second sampling campaign, likely reflecting diffuse inputs from agricultural runoff following fertiliser application. Although Cd levels remained lower than those of Pb, its persistence, high mobility, and toxicity are concerning. Cadmium is a well-documented nephrotoxin and endocrine disruptor [30], and even moderate concentrations can pose ecological risks to benthic invertebrates and fish larvae. Mercury concentrations, although variable, exhibited a rising temporal trend across campaigns, indicating progressive accumulation in sediments. This trend raises concerns about potential methylation and trophic transfer within the aquatic food web, which includes sensitive species such as migratory birds and piscivorous fish. Chronic exposure to Hg and Cd in wetland environments is known to impair endocrine functions, reproduction, and survival in amphibians and avian species [31]. These findings thus highlight the potential for long-term ecological impacts in this biodiversity-rich wetland.
The detection of 13 of the 17 different pesticides, including banned or restricted organochlorines such as lindane and aldrin, highlights the widespread and potentially illicit use of agrochemicals in the Senegal River Valley. The predominance of pyrethroids (e.g., permethrin, deltamethrin), organophosphates (e.g., dimethoate, malathion), and herbicides such as 2,4-D and bensulfuron-methyl reflects current pesticide usage trends in West African rice production systems [32], [33]. During Campaign 3, conducted at the peak of the pesticide application season, extremely high concentrations of malathion and permethrin were recorded, exceeding 47,000 µg/kg at specific sites. These values far surpass sediment quality benchmarks proposed by the USEPA and raise serious concerns about acute toxicity to benthic organisms [34]. Particularly alarming was the persistence of dicofol at concentrations over 170,000 µg/kg across multiple stations. This situation suggests ongoing environmental contamination from legacy pollutants or improper handling and disposal practices. The wide spatial variability in pesticide residues likely reflects both differences in upstream application intensity and the influence of local hydrodynamic processes, including canal flushing, irrigation return flow, and sediment resuspension. Notably, stations S1 and S3 located near drainage channels connected to rice paddies managed by SAED, showed the highest diversity and concentrations of residues, indicating strong exposure to agricultural runoff. The ubiquitous detection of lindane at all sampling stations, despite its global ban under the Stockholm Convention, suggests either recent illicit use or the long-term persistence of this compound in soils and sediments. Similar findings have been reported in protected wetlands affected by agricultural encroachment in Nigeria and Burkina Faso [35], [36]. These results are consistent with previous observations in several rivers or lakes in Africa, where [37] documented organochlorine contamination of sediment.
Overall, the pesticide profile observed in PNOD sediments is both highly diverse and environmentally concerning. The co-occurrence of banned substances (e.g., lindane, aldrin) and modern pesticides (e.g., malathion, permethrin) underscores the complexity of agrochemical inputs in the region. Dicofol, detected at levels approaching 200,000 µg/kg, raises serious questions regarding stockpiling, continued usage, or inadequate disposal practices, an issue already reported in other agricultural zones of West Africa [38]. Although pyrethroids such as permethrin and deltamethrin are considered less persistent than organochlorines, they are known to be highly toxic to aquatic invertebrates and fish, even at low concentrations [39], [40]. Their widespread presence further exacerbates the ecological risks, particularly in the context of wetlands that support high biodiversity. The seasonal increase in both the number and concentration of detected pesticides reflects the cumulative impact of repeated applications combined with hydrological mobilisation during runoff events. Such “toxic pulses” following irrigation or rainfall events are well-documented in rice agroecosystems [41], [42], where they can significantly increase exposure risks for non-target aquatic and terrestrial organisms inhabiting adjacent wetlands.
The results of this study clearly indicate that irrigated rice cultivation surrounding PNOD is the principal and likely exclusive source of the contaminants detected in sediments. The temporal peaks in Pb, Cd, Hg, and pesticide concentrations closely follow rice cultivation cycles, particularly during fertiliser application, pesticide treatments, and subsequent drainage events. Moreover, the highest levels of residues were consistently recorded at stations located near irrigation and drainage channels connected to rice paddies, confirming a direct hydrological pathway between agricultural fields and the wetland. In the absence of other major anthropogenic activities in the area, rice farming emerges as the dominant driver of chemical inputs to PNOD. These findings corroborate earlier assessments [6] that highlighted rice intensification as the main agro-environmental pressure threatening the ecological integrity of the park.
As a key stopover site for millions of migratory birds, the PNOD is particularly sensitive to chemical pollution. The accumulation of metals and pesticides in sediments threatens fish and invertebrate populations, which form the primary food base for waterbirds [43]. Studies in similar ecosystems have shown that organophosphate and organochlorine pesticides can reduce hatching success and disrupt hormone regulation in birds [3]. Moreover, elevated levels of Pb in sediments are associated with impaired foraging and increased mortality in waterfowl [44]. The correlation patterns observed in this study, such as the significant positive relationships between salinity and Pb/Cd, and the negative correlations with temperature, suggest that physicochemical conditions influence the mobility and bioavailability of metals. These findings align with studies indicating that metals tend to adsorb to sediments under alkaline and low-temperature conditions, but may be remobilised under changing pH or salinity conditions [45].
Given the substantial chemical loads documented in this study, urgent and coordinated actions are required to mitigate pollutant inputs into PNOD. A suite of management strategies should be implemented to protect this ecologically sensitive wetland. Key recommendations include the establishment of buffer zones and vegetated drainage canals to reduce agrochemical runoff and enhance natural filtration processes [46], the promotion of integrated pest management (IPM) practices to minimise dependence on hazardous pesticides, and the strict enforcement of existing bans on persistent organic pollutants such as lindane. Furthermore, it is necessary to strengthen the environmental monitoring and water quality surveillance within the park’s boundaries to ensure early detection of contamination and guide adaptive management.
These measures align with prior assessments, such as those by [47], which have already raised concerns over the degradation of the Djoudj wetland due to the intensification of rice cultivation. The present findings provide concrete evidence that reinforces those warnings, particularly with regard to the presence of pesticide residues. Similar concerns have been raised in other West African floodplain systems, including the Inner Niger Delta and the Saloum Delta, where experts have advocated for better integration of agricultural productivity and wetland conservation goals [48], [49]. Addressing these challenges is essential to safeguarding the ecological integrity and biodiversity of PNOD in the face of growing agro-environmental pressures.
This study highlights the significant chemical contamination affecting the sediments of the Djoudj National Bird Park (PNOD), a critical wetland ecosystem under growing agro-environmental pressure. The detection of elevated concentrations of trace metals, particularly lead, cadmium, and mercury, as well as a complex mixture of both banned and currently used pesticides, highlights the intensity and persistence of agricultural pollution associated with drainage practices in the Senegal River Valley. These findings reveal clear spatial and temporal patterns of contamination, with peak concentrations coinciding with periods of intensive pesticide application and irrigation.
The correlations between contaminant levels and environmental parameters such as salinity and temperature further suggest that hydrological and physicochemical conditions strongly influence pollutant mobility and bioavailability. Such results raise serious ecological concerns for the biodiversity and functioning of PNOD, particularly for migratory birds and aquatic organisms vulnerable to chronic exposure. The presence of persistent organic pollutants, such as lindane and dicofol, despite international bans, highlights the need for stricter regulatory enforcement and improved agrochemical management. In light of these findings, it is essential to adopt integrated and preventive approaches to safeguard the integrity of this Ramsar site, including promotion of sustainable agricultural practices, reinforcement of environmental monitoring, and enhanced coordination between conservation stakeholders and local agricultural actors. Ensuring the long-term ecological resilience of PNOD requires immediate and sustained action to reconcile food production with the protection of wetlands.
While this study provides robust evidence of chemical contamination in the PNOD linked to surrounding rice cultivation, several limitations should be acknowledged. First, the sampling design was restricted to three campaigns over a single annual cycle, which may not fully capture interannual variability in pollutant dynamics. Continuous monitoring over multiple years would provide a more comprehensive understanding of temporal trends and the influence of climatic factors. Second, the analysis primarily focused on sediment contamination, without assessing the transfer of pollutants to water, biota, and trophic networks. Evaluating contaminant concentrations in fish, invertebrates, and waterbirds would enable a more accurate assessment of bioaccumulation, biomagnification, and potential risks to biodiversity. Third, while the detection of banned organochlorines suggests ongoing illicit use or remobilisation from soils, the study could not distinguish between legacy pollution and recent applications. This distinction would require detailed soil analyses and farmer surveys to accurately document agrochemical practices.
We acknowledge also the agents of the PNOD for their cooperation and collaboration.
- ,
‘Heavy Metal Contamination and Bioaccumulation Patterns from a Ramsar Wetland Tributary, Northern Algeria: A Baseline Assessment’ ,Water , Vol. 17 (20), :29752025, https://doi.org/10.3390/w17202975 - ,
, World Food and Agriculture – Statistical Yearbook 2022 , 2022, https://doi.org/10.4060/cc2211en - ,
‘Avian mercury exposure and toxicological risk across western North America: A synthesis’ ,Sci. Total Environ. , Vol. 568 , :749-7692016, https://doi.org/10.1016/j.scitotenv.2016.03.071 - ,
‘How Agriculture, Connectivity and Water Management Can Affect Water Quality of a Mediterranean Coastal Wetland’ ,Agronomy , Vol. 12 (2), :4862022, https://doi.org/10.3390/agronomy12020486 - ,
‘Pharmaceutical and pesticide mixtures in a Mediterranean coastal wetland: comparison of sampling methods, ecological risks, and removal by a constructed wetland’ ,Environ. Sci. Pollut. Res. , Vol. 31 (10), :14593-146092024, https://doi.org/10.1007/s11356-024-31968-0 - ,
‘Protective measures against the impacts of agricultural and agro-industrial projects in the Djoudj National Bird Sanctuary, UNESCO World Heritage Centre (Mesures de protection contre les impacts des projets agricoles et agro-industriels dans la Réserve nationale d’oiseaux du Djoudj)’ ,UNESCO Centre du patrimoine mondial , https://whc.unesco.org/fr/activites/981/, Accessed: Oct. 16, 2025. [Online] - , ‘Wetlands of Senegal’, in Wetlands of Tropical and Subtropical Asia and Africa, 2025
- ,
‘Warning on nine pollutants and their effects on avian communities’ ,Glob. Ecol. Conserv. , Vol. 32 , :e018982021, https://doi.org/10.1016/j.gecco.2021.e01898 - ,
‘Sediments: sink, archive, and source of contaminants’ ,Environ. Sci. Pollut. Res. , Vol. 29 (57), :85761-857652022, https://doi.org/10.1007/s11356-022-24041-1 - ,
‘Occurrence, sources and environmental risk assessment of organic micropollutants in coastal sediments from the Atacama Region (Chile)’ ,Sci. Total Environ. , Vol. 900 , :1658712023, https://doi.org/10.1016/j.scitotenv.2023.165871 - ,
‘Characterization of anthropogenic impacts in Mediterranean intermittent rivers with chemical, ecological and hydrological indicators’ ,J. Hazard. Mater. , Vol. 480 , :1359512024, https://doi.org/10.1016/j.jhazmat.2024.135951 - ,
‘Failure to comply with good agricultural practices in the use of endosulfan as an insecticide in cotton cultivation in Burkina Faso: some consequences for human health and the environment (in French, Le non-respect des bonnes pratiques agricoles dans l’utilisation de l’endosulfan comme insecticides en culture cotonnière au Burkina Faso: quelques conséquences pour la santé humaine et l’environnement)’ ,Rev. Afr. Santé Prod. Anim. , Vol. 2 , :275-2782004 - ,
‘Drainage waters from the irrigated areas of the Senegal River Delta: evacuation systems and water quality (in French,Les eaux de drainage des périmètres irrigués du delta du fleuve Sénégal : systèmes d’évacuation et qualité des eaux)’ ,Physio-Géo Géographie Phys. Environ. , Vol. 6 , :7-82012, https://doi.org/10.4000/physio-geo.2614 - ,
‘Sediments as sinks and sources of marine radionuclides: Implications for their use as ocean tracers’ ,Mar. Pollut. Bull. , Vol. 194 , :1153162023, https://doi.org/10.1016/j.marpolbul.2023.115316 - ,
‘Environmental Chemistry and Ecotoxicology of Hazardous Heavy Metals: Environmental Persistence, Toxicity, and Bioaccumulation’ ,J. Chem. , Vol. 2019 (1), :67303052019, https://doi.org/10.1155/2019/6730305 - ,
‘Combatting toxic chemical elements pollution for Sub-Saharan Africa’s ecological health’ ,Environ. Pollut. Manag. , Vol. 2 , :42-622025, https://doi.org/10.1016/j.epm.2025.01.003 - ,
‘Contamination and health risks of trace metals in water and sediments of May Sieley stream, Ethiopia’ ,Phys. Chem. Earth Parts ABC , Vol. 129 , :1033152023, https://doi.org/10.1016/j.pce.2022.103315 - ,
‘Evaluating organochlorine pesticide residues in the aquatic environment of the Lake Naivasha River basin using passive sampling techniques’ ,Environ. Monit. Assess. , Vol. 190 (6), :3492018, https://doi.org/10.1007/s10661-018-6713-4 - ,
‘Assessment of seasonal variations of pesticides residues in water and sediments from Hadejia-Nguru wetlands, Northern Nigeria’ ,Discov. Environ. , Vol. 3 (1), :1342025, https://doi.org/10.1007/s44274-025-00307-6 - ,
‘Suivi de la qualité physicochimique de l’eau du fleuve Sénégal: Cas du captage du Beni Nadji alimentant en eau potable les wilayas de Nouakchott (Monitoring of water physico-chemical quality of the Senegal River: The case of capture of Beni Nadji supplying drinking water of the Wilaya of Nouakchott)’ ,J. Mater. Environ. Sci. , Vol. 7 (1), :148-1602016 - ,
‘Source apportionment and risk assessment of heavy metals in mangrove soils using multivariate and sensitivity analyses’ ,J. Environ. Chem. Eng. , Vol. 13 (5), :1182612025, https://doi.org/10.1016/j.jece.2025.118261 - ,
‘Assessment of Organochlorine Pesticide Residues in Water and Sediment in Selected Areas of River Kaduna, Kaduna State, Nigeria’ ,J. Chem. Technol. , Vol. 1 (3), :126-1332025, https://doi.org/10.22034/jchemtech.2025.545270.1021 - ,
‘Heavy Metal Pollution in Coastal Environments: Ecological Implications and Management Strategies: A Review’ ,Sustainability , Vol. 17 (2), :7012025, https://doi.org/10.3390/su17020701 - ,
, Agilent Analysis of Polycyclic Aromatic Hydrocarbons in Fish with Agilent Bond Elut QuEChERS AOAC Kit HPLC-FLD Manual. 2012. , Vol. 20 , 2025http://archive.org/details/manuallib-id-2641748 - ,
‘Risk assessment of trace metals in Mefou River sediments, West-Africa’ ,Heliyon , Vol. 7 (12), 2021, https://doi.org/10.1016/j.heliyon.2021.e08606 - ,
‘Distribution, Mobility, and Health Risks Assessment of Trace Metals in River Sediments from Intense Agricultural Activity Areas in West Africa’ ,J. Mater. Sci. Chem. Eng. , Vol. 12 (8), :12-422024, https://doi.org/10.4236/msce.2024.128002 - ,
‘Appraisal of river sediments in southwestern Nigeria with a special focus on trace metals: Occurrence, seasonal variation, sources, and health risks’ ,Ecol. Front. , Vol. 44 (1), :155-1662024, https://doi.org/10.1016/j.chnaes.2023.08.004 - ,
‘The evolution of the Canadian (CCME) Water Quality Index’ ,Water Qual. Res. J. , Vol. 59 (4), :342-3462024, https://doi.org/10.2166/wqrj.2024.052 - ,
‘Assessment of trace metal contamination in mangrove ecosystems from Senegal, West Africa’ ,Chemosphere , Vol. 90 (2), :150-1572013, https://doi.org/10.1016/j.chemosphere.2012.06.019 - ,
Toxicological Profile for Cadmium ,Agency for Toxic Substances and Disease Registry (ATSDR) Toxicological Profiles. Atlanta (GA): Agency for Toxic Substances and Disease Registry (US), 2012 , Vol. 17 , 2025http://www.ncbi.nlm.nih.gov/books/NBK158838/ - ,
‘Marine Birds as Sentinels of Environmental Pollution’ ,EcoHealth , Vol. 1 (3), :263-2742004, https://doi.org/10.1007/s10393-004-0096-4 - ,
‘Measuring pesticide ecological and health risks in West African agriculture to establish an enabling environment for sustainable intensification’ ,Philos. Trans. R. Soc. B Biol. Sci. , Vol. 369 (1639), :201304912014, https://doi.org/10.1098/rstb.2013.0491 - ,
‘An assessment of the impacts of pesticide use on the environment and health of rice farmers in Sierra Leone’ ,Environ. Int. , Vol. 94 , :458-4662016, https://doi.org/10.1016/j.envint.2016.05.034 - ,
‘Regional Screening Levels (RSLs)’ , 2025https://www.epa.gov/risk/regional-screening-levels-rsls - ,
‘Pesticides in Burkina Faso: Overview of the Situation in a Sahelian African Country’ ,Pesticides in the Modern World - Pesticides Use and Management, IntechOpen , 2011, https://doi.org/10.5772/16507 - ,
‘Impact of agrochemicals application on soil quality indicators and trace elements level of wetlands under different uses’ ,J. Trace Elem. Miner. , Vol. 5 , :1000902023, https://doi.org/10.1016/j.jtemin.2023.100090. - ,
‘Occurrence of organochlorine pesticide residues in biological and environmental matrices in Africa: A two-decade review’ ,Heliyon , Vol. 6 (3), 2020, https://doi.org/10.1016/j.heliyon.2020.e03518 - ,
‘Contamination of Sediments by Pesticides and Heavy Metals in the Senegal River Basin and Its Tributaries, Republic of Mali’ (in French, Contamination des sédiments par les pesticides et les métaux lourds dans le bassin du fleuve Sénégal et ses affluents, République du Mali) ,Afr. Sci. , Vol. 26 (4), :12-272025 - ,
‘Linking insecticide contamination and population response in an agricultural stream’ ,Environ. Toxicol. Chem. , Vol. 18 (9), :1948-19551999, https://doi.org/10.1002/etc.5620180913 - ,
‘Aquatic Toxicity Due to Residential Use of Pyrethroid Insecticides’ ,Environ. Sci. Technol. , Vol. 39 (24), :9778-97842005, https://doi.org/10.1021/es0506354 - ,
‘The mobility and degradation of pesticides in soils and the pollution of groundwater resources’ ,Agric. Ecosyst. Environ. , Vol. 123 (4), :247-2602008, https://doi.org/10.1016/j.agee.2007.07.011 - ,
‘Revealing the Extent of Pesticide Runoff to the Surface Water in Agricultural Watersheds’ ,Water , Vol. 15 (22), :39842023, https://doi.org/10.3390/w15223984 - ,
IUCN World Heritage Outlook 2: A conservation assessment of all natural World Heritage sites ,International Union for Conservation of Nature , 2017, https://doi.org/10.2305/IUCN.CH.2017.17.en - ,
‘The chronic toxicity of aluminium, cadmium, mercury, and lead in birds: A review’ ,Environ. Pollut. , Vol. 46 (4), :263-2951987, https://doi.org/10.1016/0269-7491(87)90173-4 - ,
‘Metal Contamination In Aquatic Environments. Science And Lateral Management. - By Samuel N. Luoma and Philip S. Rainbow’ ,J. Fish Biol. , Vol. 75 (7), :1911-19122009, https://doi.org/10.1111/j.1095-8649.2009.02440_4.x - ,
‘Efficiency of buffer zones in nutrient load reduction under climate change conditions (Nurzec River, eastern Poland)’ ,CATENA , Vol. 257 , :1091832025, https://doi.org/10.1016/j.catena.2025.109183 - ,
‘UNESCO World Heritage Centre - State of Conservation (SOC 2023) Djoudj National Bird Sanctuary (Senegal)’ ,UNESCO World Heritage Centre , https://whc.unesco.org/en/soc/4326/, Accessed: Oct. 17, 2025. [Online] - ,
‘Integrated Water Resources Management along the Senegal River: Introducing an Analytical Framework’ ,Int. J. Water Resour. Dev. , Vol. 18 (4), :501-5212002, https://doi.org/10.1080/0790062022000017374 - ,
‘Chapter 37 - The Senegalese Coastal and Marine Environment’ ,World Seas: an Environmental Evaluation (Second Edition) , 855-8732019, https://doi.org/10.1016/B978-0-12-805068-2.00043-7

