Water security is essential for achieving sustainable development. According to UN-Water [1], ensuring water security is fundamental for fostering economic growth, environmental sustainability, and social well-being. Furthermore, it is indispensable for human health [2] and poverty reduction [3].
While multiple definitions of water security exist depending on the type and scale of the system being analyzed [4], it is broadly understood as “the capacity of a population to safeguard sustainable access to adequate quantities of acceptable quality water for sustaining livelihoods, human well-being, and socio-economic development, for ensuring protection against water-borne pollution and water-related disasters, and for preserving ecosystems in a climate of peace and political stability” [1].
Urquiza & Billi [5] argue that achieving water security requires ensuring equitable access to water services of sufficient quantity and quality to meet multiple needs and uses, while also guaranteeing the sustainability and resilience of these services in the face of natural and anthropogenic threats. The latter is becoming an increasingly hard challenge in the context of climate change [6] and increasing urbanization [7].
Mekonnen and Hoekstra [8] estimate that four billion people already face water security issues, considering seasonal and inter-annual climate variations in water availability, affecting adequate access to drinking water and, consequently, water security. Unfortunately, water security challenges are expected to intensify, as the IPCC [9] projects a reduction in renewable surface and groundwater resources, along with increased frequency and intensity of droughts and a deterioration in water quality, due both to higher concentrations of contaminants and more frequent heavy precipitation events. Thus, climate change must be assessed as a major threat to reach and sustain water security.
Climate change does not affect all territories equally; its impacts vary depending on multiple social, economic, and environmental factors [10] . Therefore, evaluating and addressing the water risk due to climate change requires integrated frameworks that capture the determinants and spatial distribution of water insecurity, which must be sensitive to each territorial context's ecological, technical and socio-cultural conditions [11]. Currently, most studies focus either on large scales (such as cities or watersheds) or very small scales (such as households). Mid-scale approaches for analyzing water security risks are lacking between these two levels.
To address this challenge, this paper adapts the Territorial Water Vulnerability (TWV) framework, previously proposed by the authors [12], as an integrated approach that combines ecological, technical, and socio-cultural factors to assess water security risks at a fine spatial resolution. The TWV framework links sensitivity factors (e.g., socioeconomic conditions, water infrastructure, demographic characteristics) and response capacity indicators (e.g., system flexibility, redundancy, and governance conditions) across different dimensions, including socioeconomic, technical and environmental, to develop a composite vulnerability index. This integration is operationalized through a fuzzy logic approach, which enables a nuanced aggregation of multiple variables while preserving the complexity of their interactions. The fine-grained resolution and use of integrative indexes enable unprecedented detail in understanding vulnerability patterns, making it a valuable tool for academic study and practical decision-making in water security governance.
This empirical approach is applied to the Gran Valparaíso conurbation in Chile, a territory facing significant water security risks in a highly vulnerable country to climate change. Central Chile has experienced a prolonged and intense hydrological drought, making it an important reference for understanding future water security challenges expected in other urban areas worldwide. Gran Valparaíso presents a combination of severe water scarcity, governance fragmentation, and socio-spatial inequalities, common in many rapidly urbanizing regions of Latin America and beyond. Studying this case provides insights into how urban water systems may respond to increasing climatic pressures and institutional challenges. While the analysis specifically focuses on drinking water risks, the TWV framework has broader applicability in evaluating various impacts of climate change on different water uses and processes.
The paper is structured as follows: Section 2 presents a literature review on water security. Section 3 outlines the conceptual framework. Section 4 introduces the study area, data, and methodology used to construct the TWV index. Section 5 presents the main results, identifying the most vulnerable areas and analyzing vulnerability drivers at both the commune and census block scales through cluster analysis. Section 6 discusses the key findings and the conceptual and methodological contributions of the study. Finally, Section 7 summarizes the main conclusions.
Two main broad methodological frameworks exist to quantify urban water security or at least some aspects. The first group of studies measures water security across only one dimension, as is the case with the hydric stress [13] or water poverty index [14] that provides relevant information on an aspect of water security. This approach can be applicable in territories with different geographic scales and characteristics (i.e., urban or rural), allowing a faster, simpler, more cost-efficient, and comparable way of measuring proxy water security. Nevertheless, these indexes fail to characterize urban water security dynamics properly [15] because they necessarily generalize and homogenize territorial diversity in their analysis [16]. These studies usually overemphasize the importance of focusing excessively on grey infrastructure, which may hide other important aspects affecting water security [17].
A second approach in the literature is measuring water-related issues using composite indexes [18] built from various indicators that attempt to consider the different and complex relationships in an urban territory [19]. These indices are developed for specific cities or regions, considering the available information and recognizing the multiple drivers influencing water security, as the integrated urban water security index proposed by Aboelnga et al. (2020) [13] and the Urban water security indicators proposed in Jensen & Wu (2018) [3]. These drivers include, for instance: technical conditions, such as the quantity, quality [20], affordability, accessibility [3], infrastructure, consumption [21], efficiency and alternatives sources used in water provision and wastewater treatment systems [22] socio-economic conditions, such as social capital, population, economic factors [23], legal and institutional and governance frameworks [24]; and environmental conditions such as pollution, green infrastructure, the propensity of hydro-climatic hazards and others natural risk [25] (A synthesis of indicators identified in the literature is available in Tables S1-S3, supporting information).
Notably, when including socio-economic variables, water security literature mostly relies on variables that describe the quantity and distribution of the population to quantify the number of people exposed to water security-related problems. For instance, Chang et al. (2015) [24] used the GDP as a proxy of socioeconomic status and applied it to a whole city in a homogeneous approach. Less attention has been given to variables aiming to characterize the differences in socio-economic vulnerability of the inhabitants of a city.
The geographic scale on which information is expressed is another relevant aspect to consider when constructing these indexes. Most studies are defined at the basin, city, or national level [26], often treating these as homogeneous territories [27]. However, the literature recognizes the need for new analytical frameworks and indexes to evaluate water security at a more detailed geographic scale, aiming to account for the specific characteristics of smaller territorial units [28]. Many drivers of water security, including infrastructural, sociodemographic, and cultural variables, vary significantly on smaller scales.
Actions aimed at fostering water security are most effective when performed at the local level, with a nuanced understanding of how different sources of risk interact with the specific conditions of particular areas and populations within human settlements. Therefore, a more detailed resolution in evaluating water security risks is required, allowing for the consideration of the characteristics of smaller territories [29]. Notable progress has been made in this direction by studies attempting to describe or assess household water insecurity (e.g., [21], [22]). However, a focus on households can often limit these studies' ability to encompass broader territorial dynamics that may condition risks affecting households. This highlights the strong need for a mid-range approach that explores water security risks at a scale between the household and the city or basin level, which remains underexplored in the current literature.
Latin America lacks robust empirical studies on water security risks [30], especially studies taking a territorial approach to this assessment. The concept of water security has only started to be used in recent years. Among studies that explicitly tackle this, there are investigations about specific social conflicts, like conflicts with mining projects [31] and urban or rural contexts [32]. Other studies evaluate water security by combining quantitative and qualitative variables in the cities of Río de Janeiro [33], Fortaleza [34] and La Paz [35]. In the latter, water security is evaluated exclusively considering the availability of raw water. Regarding documents from international organizations, [36] defines water security and offers a diagnosis of the water resources in the region and a perspective of the challenges and priorities for water. Recently, some advancements have been made in this direction by international organizations such as the Economic Commission for Latin America and the Caribbean (UN-ECLAC) and the Inter-American Development Bank (IADB). UN-ECLAC offers a conceptual definition and a diagnosis of water security in Latin America and identifies strategies and instruments for water security [5]. The IADB elaborates on a diagnosis of water security and a perspective of IDB for innovation and strategies for the future of water in Latin America [37].
In this context, applying a fine-grained analysis in an urban context is especially urgent, considering that the trend towards greater population concentration in urban areas is expected to continue, exacerbating water scarcity [8] and exposure to water-related risks.
In this paper, the conceptual and methodological framework developed by the authors in [12] for the Territorial Water Vulnerability (TWV) concept is utilized to assess the characteristics of the Gran Valparaíso territory that may hinder or limit the achievement of water security.
The concept of vulnerability is closely connected to risk, as defined by the Intergovernmental Panel on Climate Change (IPCC) in its fifth assessment report [10]. Risk is the probability that something valuable to society would be in danger with an uncertain outcome due to the interaction of three components: hazard, exposure, and system vulnerability. The TWV framework is explicitly designed as an integrated model, capturing the interdependencies between ecological, technical, and socio-cultural dimensions that contribute to water security challenges. Rather than analyzing these aspects in isolation, the TWV approach evaluates how they interact within the same territorial unit. In addition, the TWV will display a significant correlation with pre-existing water service access inequalities, influencing the water security actual state of the territory even without hazards (Figure 1).
On (a) Conceptual relationships between water security, insecurity, equitable access, sostenibility and resilience (adapted from [5]) The sostenibility and response capacity (axis y) of the water services are determined by the hydric risk that the territory faces on (b) a conceptual framework of climate risk is presented. Territorial water vulnerability, as the territory's propensity to have water insecurity conditions, captures the vulnerability component of the hydric risk and the existing water access conditions of the territory.
Vulnerability can be decomposed into sensitivity and response capacity [10]. Sensitivity refers to the systemic characteristics that increase the probability of the exposed components suffering negative impacts. It is influenced by environmental, sociodemographic, infrastructure and technology conditions, economic and cultural resources, and knowledge of the territory regarding different components of the water system [38].
On the other hand, response capacity is a "reactive" mechanism that responds to disturbances encountered by the systemic capacity to face adverse conditions presented by hazards, exposure, and sensitivity. It relates to the flexibility of the system to adjust in the face of potential impacts, which is influenced by the diversity, connectivity, and redundancy of the components and structures involved in the provision of water services [11].
In this article, the TWV framework was employed to address the vulnerability of the urban drinking water service of Gran Valparaíso through a five-step methodology. The steps are numbered from 0, intending that steps 1-4 coincide with those developed in sections 3.1 - 3.4.
Define and conceptualize the observed water services: Climate change may affect water security in several ways, depending on which kind of climate drivers and water services (and users) one considers and the scale of analysis [5]. Thus, the first step of the analysis implies defining which specific hazards and services are considered. This article focuses on the territorial water vulnerability of urban households' drinking water provision. In the Gran Valparaíso conurbation, this service is mainly provided by the ESVAL water utility company.
Characterization of the system and its components and interrelationships: After defining the service, the analysis should identify and characterize the key elements and processes that interact in the technical, socio-cultural and ecological water systems that sustain the observed service (in this case, household-level water provision). A territorial characterization should then be performed, considering the ecological, technical and socio-cultural elements implied in the service provision. This step is addressed in subsection 3.1.
Characterization of the risk components faced by the system: Once the system is defined, an analysis is conducted to assess how climate change may impact the system. To achieve this, the analytical framework of risk assessment from [39] is adapted, building an impact chain that represents the interaction between the components and variables influencing the risk faced by water services.
Constructing the impact chain involves two potentially iterative steps: designing a theoretical impact chain (which summarizes all the relevant variables and interactions identified by existing literature and experts) and operationalizing that chain into concrete, measurable, and existing indicators.
The first step is to identify the key climatic hazards that may impact the services, and the components of the system exposed to those hazards. This allows for distinguishing the direct and intermediate impacts of the selected hazards on the system and the service it provides. Next, the main factors explaining the system's sensitivity and its components are characterized, particularly identifying the technical and sociocultural conditions affecting the drinking water service and the response capacity regarding the system’s flexibility. This step is addressed in the impact chain subsection (3.2).
Description of the Territorial Water Vulnerability and Risk: As a result of the integration of sensitivity and response capacity indicators, the hydric vulnerability of the observed territory can be estimated. This vulnerability should be complemented with hazard and exposure analyses for risk assessment. In this study, only TWV and exposure are described due to the difficulty of differentiating the hazards at the analysis resolution, which considers units of the same hydrographic basin with drinkable water from the same technical system. Subsection 3.3 addresses the integration of the sensitivity and response capacity indicators on a single TWV index.
Interpretation of the results: Considering the scale of the information used in the previous stage, different multiscale relationships of the TWV indicators that define the water risk can be established, allowing the development of specific and efficient strategies for addressing the TWV. In subsection 3.4, a cluster analysis approach is described. The results presented correspond to a relative ordering between the census blocks in the study area, as the methodology does not try to ‘quantify’ the risk but rather to discriminate higher/lower risk areas and potential profiles of high-risk areas.
This study focused on the case of the Gran Valparaíso conurbation in Central Chile. Climate change has severely impacted this region, with a drying trend leading to the so-called megadrought, affecting the country since 2010, with annual precipitation deficits ranging between 25% and 70% [40]. The megadrought has led to extreme water scarcity on the contributing catchment for urban drinking water services of the Gran Valparaiso conurbation, one of the most important urban settlements in the country.
Gran Valparaíso (33°03′S 71°37′W) is a metropolitan area located in the Valparaíso Region, Chile. It is the main urban settlement in the region and integrates the communes of Quilpué, Villa Alemana, Valparaíso, Viña del Mar and Concón (The commune is the smallest administrative and territorial unit in Chile and is equivalent to what is known in other countries as a municipality). According to the National Institute of Statistics, it has 951,150 inhabitants distributed over 402 km2, representing 6% of the country’s total population. The drinking water production and distribution, as well as the wastewater treatment, are managed by the private water utility company ESVAL S.A. in its "Gran Valparaíso'' system that integrates eight locations: Valparaíso, Placilla de Peñuelas, Curauma, Viña del Mar, Reñaca, Concón, Quilpué and Villa Alemana (Figure 2).
Gran Valparaíso Area, Aconcagua River, Los Aromos Reservoir, Surface and Underground Collections, Coverage of water utility Barracks and Census Blocks of Gran Valparaíso. Source: own elaboration.
The water supply system is integrated by 42 raw water collection points (5 surface water sources, which represent 59% of total production and 37 underground water sources), four production facilities and 151 distribution reservoirs present in the eight localities, which supply 376,010 clients (at 2019), distributed in 2,655 barracks (the smallest territorial unit of the water utility company and corresponds to the sector of the distribution network in which the supply of Potable Water can be temporarily suspended, without affecting the general supply). Despite the many collection points, 76% of the water supply comes from 4 sources on the Aconcagua River (Figure 2). Thus, the river’s water availability is essential to maintaining an effective drinking water supply in the Gran Valparaíso system.
The Aconcagua River has a snow-rain-fed fluvial regime, with an annual mean flow of 33 m3/s and 14.5 m3/s standard deviations [41] characterized by considerable flow fluctuations during the year, with maximum flows in the warm season due mainly to snow feeding. However, in the last decade, the river has presented an alarming decrease, registering a minimum flow of 2.7 m³/s at the Romeral gauge station in 2019 [42]. At least two reasons explain this situation. The first one is associated with the drying trend observed in meteorological variables (precipitation and temperature) that has led to severe drought conditions affecting central Chile since 2010 [43]. This so-called ‘mega-drought’ has induced average streamflow deficits of 70% in the rivers located in the Valparaiso region and has affected the water regime by increasing the participation of glacier runoff contributions to the basin.
The second reason refers to the water overexploitation in the Aconcagua basin throughout its entire course, given the high water demand from productive mining activities in the upper part of the basin and agricultural activities in the middle and lower parts [42]. The lower river flows have led ESVAL to increase groundwater collection, promoting the creation of 45 new wells between 2011 and 2019 and purchasing raw water from third parties.
The spatial analysis of TWV is conducted at the finest resolution with relevant information available, which is at the census block scale, the smallest territorial unit with census information. The census block comprises a group of adjoining or separate dwellings, buildings, establishments, or properties delimited by geographical, cultural and natural features. In Gran Valparaíso, there are 10,042 census blocks with available information on which the TWV analysis is carried out.
As explained above, an indicator-based methodological structure is followed, inspired by the work of the IPCC Assessment Report 5 [44] and the GIZ climate change impact evaluation methodological guidelines [39], [45]. To describe the territory’s sensitivity and response capacity in the face of hazards to urban water security, a set of indicators was estimated based on the vulnerability conditions identified in the literature and the information available for the study case (see Table 1).
Indicators used for the sensitivity index.
Subdimension |
Indicator |
Description |
Spatial resolution |
Data Source |
Year |
|---|---|---|---|---|---|
Socioeconomic |
Education level |
Proportion of households with a low educational level (<8 years) of the household head |
Census zone |
Censo 2017 |
2017 |
Income Poverty |
Proportion of households under the Chilean poverty line. |
Census zone |
(Muñoz et al., 2019) |
2018 |
|
Demographic |
Territorial segregation index |
Spatial Segregation Indicator, generated by the aggregation of 26 sub-indicators |
Census zone |
(Muñoz et al., 2019) |
2017 |
Ethnic population |
Proportion of ethnic population |
Census Block |
Censo 2017 |
2017 |
|
Child population |
Proportion of population under <5 years old. |
Census Block |
Censo 2017 |
2017 |
|
Elderly population |
Proportion of population aged>65 years or older. |
Census Block |
Censo 2017 |
2017 |
|
Migrant population |
Proportion of migrant population |
Census Block |
Censo 2017 |
2017 |
|
Overcrowded households |
proportion of households with more than 2.5 people per bedroom |
Census zone |
Censo 2017 |
2017 |
|
Women-led household |
The proportion of women-led households with persons>65 or <5 years old. |
Census zone |
Censo 2017 |
2017 |
|
Water accessibility |
Informal human settlements |
Proportion of the census block surface covered by informal settlements |
Census Block |
(Ministerio de Vivienda y Urbanismo, 2019) |
2019 |
Well water supply |
The proportion of dwellings whose water supply is from a well |
Census Block |
Censo 2017 |
2019 |
|
Supply by cistern truck |
The proportion of dwellings whose water supply is through cistern trucks |
Census Block |
Censo 2017 |
2017 |
|
River water supply |
Proportion of dwellings with river water supply |
Census Block |
Censo 2017 |
2017 |
|
Water consumes |
Monthly average consumption |
Monthly average consumption in m3 |
Barrack |
Information provided by ESVAL |
2018-2019 |
Summer monthly average consumption |
Monthly average consumption of m3 during summer months (December, January and February) |
Barrack |
Information provided by ESVAL |
2018-2019 |
|
Other service conditions |
Number of unscheduled outages |
Annual average of the number of unscheduled outages |
Barrack |
Information provided by ESVAL |
2014-2020 |
Time of unscheduled outages |
The annual average of the time that all the unscheduled outages lasted |
Barrack |
Information provided by ESVAL |
2014-2020 |
|
Number of critical infrastructure customers |
The number of hospitals, shelters, care centers, courts, and municipalities, among other critical infrastructures, identified |
Barrack |
Information provided by ESVAL |
2021 |
|
Surface sources |
Proportion of production provided by surface sources |
Locality |
Information provided by ESVAL |
2021 |
The exposure is defined by the population and measured by considering the number of inhabitants (Inhab) and the population density per hectare (Inhab/Ha). In this way, the potential effect of the TWV on a greater number of individuals or some high population density areas is considered. Sensitivity depends on several factors related to the population's demographic and socio-economic conditions and water utility services' characteristics.
Regarding the demographic characteristics, according to the literature, the presence of elderly (above 65 years) [46] and childhood (under six years) [47] populations should be considered because they are more prone to diseases caused by a lack of water. Moreover, in a water scarcity context, women-led households tend to be unable to carry out domestic and care tasks related to water use and usually have higher poverty levels [48]. Also, minority groups such as ethnic minorities and migrants [49] are especially affected by social and economic inequality, increasing the risk of facing living conditions without access to drinking water and health and hygiene services, among others [50]. Similar is the case for overcrowded housing [51]. The economic poverty of the population is an important factor that limits access to improvements in drinking water infrastructure and devices [52]. This can exacerbate the population's sensitivity to water quality issues and may result in adopting alternative mechanisms, such as bottled water. The financial burden of buying bottled water can further exacerbate the economic challenges faced by low-income households, making it more difficult to meet their basic needs.
Concerning the coverage and access to drinking water, a series of indicators are used as a proxy for lack of water access: (1) urban households that are outside the water utility coverage area, depending on water supply provided by the river, wells or cistern trucks [53], (2) homes provided with cistern trucks, affected by the intermittency of said supply and the potential transmission of diseases that can put people's lives at risk [54], (3) the presence and area of informal human settlements [55], whose lack of legal protection further limits access to water supply sources [56].
Regarding the quality and continuity of the water supply service, indicators associated with the average water consumed in different periods of the year, the seasonality of consumption, and unexpected service interruptions were considered. Substantial variations in demand, especially in summer, require a greater adaptation capacity of the system and additional water sources to cover this seasonal demand, which exposes the system to losses in service continuity or low pressure [8].
Additionally, the presence of critical infrastructure, such as public services essential for the well-being and health of the population, such as hospitals, shelters, assistance centers, courts and municipalities, may see their functionality diminished in the event of a supply cut, increases the vulnerability of the area circumscribed to said service [57]. Finally, territories that depend on surface water production are more sensitive since meteorological drought affects them more quickly than groundwater sources [58].
The response capacity analysis is mainly associated with the system’s flexibility, understood as the ability to adapt to the lack of water and could be characterized by the diversity of sources, planning for droughts and climate change and hours of distribution system’s autonomy, among others [59] (see Table 2).
Indicators used for the response capacity index
Dimension |
Indicator |
Description |
Spatial resolution |
Data Source |
Year |
|---|---|---|---|---|---|
Short-term response |
Number and volume of alternative supply sources |
This indicator measures the number and volume of storage in M3 of alternative supply sources |
Barrack |
Information provided by ESVAL |
2021 |
Distribution system autonomy |
The amount of time for which the sanitary service can supply the average consumption of the population with the distribution system |
Locality |
Information provided by ESVAL |
2020 |
|
Long-term response |
Diversity of sources |
The proportion of water produced at points other than the main source |
Locality |
Information provided by ESVAL |
2021 |
system water loss |
The gap between the amount produced and actual consumption |
Locality |
Information provided by ESVAL |
2015 |
The number and capacity of alternative supply sources, as well as the autonomy of the distribution system [3], are indicators of the system's short-term flexibility to respond to shocks that abruptly interrupt the service. On the other hand, the diversity of catchment sources [3] and water loss in the system are indicators used to evaluate the system's medium- and long-term flexibility. The increases in population and the effects of climate change will impact the effectiveness of the water supply system in providing the service that the population requires.
To ensure consistency across variables, all data with a spatial resolution different from the census block were calculated for the census block using a weighted average. Additionally, annual means were computed for indicators from the ESVAL data source, which spanned multiple years. These operations create a cross-sectional database with a singular value for each indicator in every census block.
To assess territorial water vulnerability in Gran Valparaíso, the indicators from ecological, technical, and socio-cultural dimensions discussed earlier were first grouped into two sub-indexes: Sensitivity and Response Capacity. These sub-indexes were then aggregated into a single composite Vulnerability Index, allowing for a comprehensive evaluation of water insecurity risks at the census block level.
This aggregation was performed using a fuzzy logic approach [60], [61]. which enables the integration of diverse indicators with different measurement scales without assigning arbitrary weights. Instead of using a rigid numerical weighting system, fuzzy logic dynamically adjusts the contribution of each indicator based on its empirical distribution and predefined logical rules (see Supporting Information, Section 2, for details).
Raw data were processed to obtain indicators for each census block, which were then standardized using fuzzy membership functions. This transformation generated fuzzy set values for each variable, ranging from 0 to 1, representing the degree of membership of the census block to a "high" or "low" condition of the variable.
Depending on the variable's distribution, linear or S-type membership functions were applied, with the upper thresholds calibrated empirically using values between the 95th and 99th percentiles to avoid biases caused by potential outliers. This process was refined iteratively to identify the parameters that yielded the most consistent results. (See Table S4 to see the parameters of the membership functions of each variable).
In the case of sensitivity, the indicators were first grouped into sub-dimensions and subsequently combined into a sensitivity index. The form of aggregation depended on the indicator's substitutability in reflecting the sub-dimension's presence. A boolean OR operator was used for highly substitutable indicators, where any indicator's presence activated the sub-dimension's relevance in the index. For complementary indicators, where two or more indicators were necessary to establish the significance of the sub-dimension in the index, the indicators were added using Boolean AND operators. (see Table S5 in the supporting information).
Then, the fuzzified indicators were combined using causal logic rules based on multiple conditions defined in the literature. If a set of conditions was met, the case was assigned a certain level (high, medium, or low) of the index analyzed (see Tables S6-S8 in the supporting information for sensitivity, response capacity and vulnerability indexes, respectively).
Finally, the centroid method was applied to the membership distributions of the resulting indexes to obtain a punctual index value in each census block in a 0-1.
The vulnerability is analyzed at the commune and census block levels according to the spatial scale of the different information sources. Cluster analysis is conducted to identify various profiles of census blocks at the extremes of the vulnerability index distribution. The study focuses on blocks in the first and last deciles of vulnerability. Different sample sizes of groups were tested to characterize the blocks with high and low TWV. In the first and last deciles, groups with significant differences in the indicators integrated into the vulnerability index appear, allowing the identification of markedly different census block profiles with extreme values of TWV.
To analyze all the indicators associated with the smaller units corresponding to census block or barrack (see Tables 1 and 2), a hierarchical cluster analysis was performed using Ward's method and Euclidean affinity as a similarity measure [62]. On the other hand, all the variables associated with a spatial unit greater than the census block (census zone, locality, commune) are not considered in the cluster analysis and are only analyzed at the commune level.
The inertia curve and dendrogram of each decile of data were considered to choose the optimal number of clusters, considering the minimum Euclidean affinity between the elements of each group and the maximum distance between the different groups. According to the results of both methods (see Figure S1, supporting information), three clusters were made for the observations of the high-vulnerability group and three for the low-vulnerability group. At this number of groups, the inertia curve presents an inflection point in the inertia gain of having one more group and the Euclidean distance in the dendrogram is maximized.
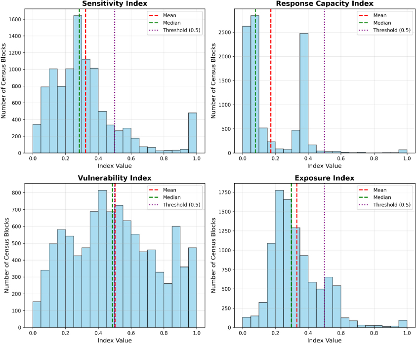
As highlighted in the methods, the results presented correspond to a relative ordering between the census blocks in the study area. Figure 3 displays the distribution of four indices: sensitivity, response capacity, vulnerability, and exposure.
Distribution of Sensitivity, Response Capacity, Vulnerability, and Exposure indices across census blocks in the study area. Each histogram illustrates the frequency of index values, with dashed lines marking the mean (red), median (green), and a reference threshold of 0.5 (purple). Source: own elaboration.
The histograms reveal a right-skewed distribution for sensitivity and exposure, with most census blocks clustered below the threshold value of 0.5. The sensitivity index's mean is 0.32, with 85% of the blocks below the threshold. However, a notable concentration of 523 blocks exhibits high sensitivity values exceeding 0.9. The Response Capacity Index, in contrast, is highly skewed to the right, with a median of just 0.08, highlighting the generally low response capacity across the region. Interestingly, around 2,500 blocks fall within a range of 0.35–0.4, but only 74 blocks (less than 1%) have response capacity values exceeding 0.9, emphasizing the scarcity of high-capacity blocks.
The Vulnerability Index shows a more balanced distribution, with approximately half of the census blocks (4,841 out of 10,042) surpassing the 0.5 threshold. This reflects the interplay between low response capacity and heightened sensitivity, which drives significant vulnerability across large portions of the study area.
Maps of exposure, sensitivity, response capacity and vulnerability indexes are shown in Figure 4. The spatial distribution of the exposure index in terms of quantity and density of the population is shown in Figure 4a, showing a heterogeneous distribution of the exposure, driven by higher density on the smaller central census blocks and by higher population levels on the bigger census blocks on the outskirts of each locality. The sensitivity map (Figure 4b) reveals the census blocks with a greater susceptibility to being impacted by water stress. The most sensitive census blocks are located on the outskirts of each locality, with a particular concentration in areas with a strong presence of informal settlements, homes without drinking water utility service and precarious socioeconomic conditions. No substantial difference exists between communes in the sensitivity index (Table 3).
Exposure, sensitivity, response, and vulnerability index spatialized by census block on the study area are represented on maps a), b), c), and d), respectively. Source: own elaboration.
Average values for sensitivity and response capacity indicators at the communal level.
Dimension |
Commune |
Valparaíso |
Concón |
Viña del Mar |
Quilpué |
Villa Alemana |
Mean |
|---|---|---|---|---|---|---|---|
Sensitivity |
Education level* |
10.2% |
6.9% |
9.1% |
8.3% |
7.8% |
9.0% |
Income Poverty* |
19.4% |
21.5% |
29.0% |
26.0% |
28.0% |
25.1% |
|
Territorial segregation index* |
14.1% |
22.8% |
20.0% |
16.6% |
20.4% |
17.8% |
|
Ethnic population |
5.32% |
3.91% |
4.83% |
5.06% |
4.57% |
4.95% |
|
Child population |
4.1% |
4.3% |
3.6% |
3.8% |
4.3% |
3.9% |
|
Elderly population |
12.1% |
9.5% |
12.9% |
13.2% |
12.6% |
12.5% |
|
Migrant population |
1.0% |
2.5% |
1.4% |
0.6% |
0.6% |
1.1% |
|
Overcrowded households* |
6.7% |
3.9% |
5.1% |
4.2% |
4.2% |
5.3% |
|
Women-led household* |
23.9% |
21.0% |
22.9% |
23.8% |
23.9% |
23.4% |
|
Informal humman settelments |
1.8% |
0.2% |
6.8% |
0.7% |
1.1% |
3.2% |
|
Non potable water acces |
2.0% |
0.5% |
2.1% |
1.7% |
3.3% |
2.1% |
|
Monthly average consumption (m3) |
13.36 |
19.74 |
14.67 |
15.23 |
13.93 |
14.50 |
|
Summer monthly average consumption (m3) |
13.58 |
22.61 |
15.91 |
14.88 |
14.52 |
15.17 |
|
Number of unscheduled outages |
1.22 |
2.65 |
1.90 |
1.41 |
1.08 |
1.53 |
|
Time of unscheduled outages (min) |
609.41 |
841.44 |
673.31 |
457.02 |
319.53 |
578.32 |
|
Number of critical infrastructure customers |
0.15 |
0.07 |
0.15 |
0.07 |
0.07 |
0.12 |
|
Surface sources (percentage)* |
67.27% |
73.40% |
70.43% |
65.10% |
63.90% |
67.83% |
|
Sensitivity Index |
0.349 |
0.206 |
0,272 |
0.385 |
0.355 |
0.322 |
|
Response capacity |
The volume of alternative supply sources (mean m3) |
8.20 |
7.47 |
8.85 |
7.78 |
7.62 |
8.25 |
Distribution system autonomy (Days) * |
0.90 |
1.61 |
1.08 |
0.59 |
0.51 |
0.51 |
|
Diversity of sources * |
0.68 |
0.67 |
0.73 |
0.70 |
0.65 |
0.64 |
|
System water loss * |
42.94% |
44.10% |
41.61% |
42.10% |
43.30% |
42.40% |
|
Response Capacity Index |
0.462 |
0.341 |
0.099 |
0.039 |
0.042 |
0.173 |
|
Vulnerability Index |
0.488 |
0.322 |
0.41 |
0.674 |
0.617 |
0.502 |
Note: Indicators with * are associated with a territorial unit bigger than the census block. Census zone, locality, or commune.
The results of the response capacity index (Figure 4c) show the capacity of a given territory to respond in the face of a supply shortage. In this way, the communities of Concón and Valparaíso present better response levels due to the greater number of autonomy hours of their distribution systems, two or three times greater than the other localities (Table 3). On the other hand, higher capacities of alternative supply are found in some census blocks of the localities of Valparaíso, Reñaca, Viña del Mar and Quilpué, raising their response capacity. The Diversity of sources and System Water Losses has a lower influence on determining the response capacity due to the small variability of the distribution of these variables (Table 3) between the evaluated localities.
The vulnerability map (Figure 4d) shows a combination of patterns observed for the previously discussed sub-indexes. The situation of Curauma, Placilla de Peñuelas and in part of the census blocks of Villa Alemana and Quilpué (see location in Figure 4) stands out in that, despite not having an elevated sensitivity, these areas are highly vulnerable because of their low response capacity. Finally, a high vulnerability persists in most of the territories, displaying a high sensitivity, indicating that, in general, there are low levels of response capacity.
Special attention should be given to census blocks with high TWV and exposure index values, as their combination implies heightened water insecurity risk. Although the correlation between the two indices is weak and negative (r = -0.09), reflecting lower population densities in more vulnerable peripheral blocks, a significant overlap exists. Of the 4,648 blocks with TWV values above 0.5, 719 also have exposure index values exceeding 0.5, underscoring their increased water risk.
Based on the hierarchical cluster grouping, the profiles of the households that fell into the most and least vulnerable deciles of the population were studied (Figure 5).
Spatialized clusters for the highest (a) and lowest (b) decile of the vulnerability index. Source: own elaboration.
In general, the most vulnerable census blocks are located on the outskirts of the cities in the study area. Cluster 1H (Figure 5a in red) groups 121 census blocks distributed throughout the territory, with an elevated quantity of unscheduled shortcuts, an annual mean of 2373 minutes without water services and households with high consumption (about 16 cubic meters monthly). Moreover, this cluster shares with Cluster 3H the presence of critical infrastructure.
Cluster number 2H (Figure 5a in blue) contains 75 census blocks with a high frequency and time of unscheduled shortcuts. On average, 30% of the area of the census block of this cluster is covered with informal settlements; meanwhile, in clusters 1H and 2H, the coverage with this kind of settlement is about 12% of the surface, and in the whole study area, it is 3%. The water consumption of this census block (cluster 2H) is only ten cubic meters per month and has lower levels of alternative supply to face the great levels of average shortcuts time (7,072 minutes).
Cluster 3H (Figure 5a in green) is composed of the largest number of census blocks (708) and highlights having the worst accessibility to drinking water, with 8.8% of the households without access to the public drinking water network, in comparison to the 4.4% and 3.6% of the group’s 1 and 3 respectively, the average is 2% in the whole study area. On the other hand, the problems associated with the supply shortcuts are quite small compared to those of different groups, which have 1.4 shortcuts for the year.
Regarding the sociodemographic characteristics of these groups, the variables migrant population, elderly population and Child population are close to the average for all the census blocks in the study area (10.8%, 12.5%, and 3.91%, respectively). Meanwhile, the ethnic origin population is nearly 7% in every group, significantly higher than the average in the study area of 4.95%.
Conversely, the 10% least vulnerable census blocks are found in the central zones in the localities of Concón, Valparaíso and Viña del Mar. There is no census block from Quilpué and Villa Alemana due to their reduced response capacity, driven by the low autonomy of the distribution system (See Table 4).
Average values for vulnerability indicators for each of the three clusters of the lowest and the highest decile of the vulnerability Index
Low Vulnerability |
High Vulnerability |
|||||
|---|---|---|---|---|---|---|
cluster |
1L |
2L |
3L |
1H |
2H |
3H |
No potable water Supply |
0.10% |
0.10% |
0.00% |
4.40% |
3.60% |
8.80% |
Ethnic population |
1.70% |
2.50% |
2.00% |
6.40% |
7.80% |
7.00% |
Elderly population |
12.7% |
13.9% |
15.1% |
10.90% |
7.40% |
8.90% |
Migrant population |
2.00% |
2.20% |
1.70% |
1.20% |
0.30% |
1.20% |
Child population |
3.20% |
2.90% |
3.10% |
4.10% |
4.00% |
5.40% |
Number of unscheduled outages |
1.677 |
0.918 |
0.253 |
6.331 |
15.079 |
1.438 |
Time of unscheduled outages (minutes) |
674.4 |
269.84 |
65.921 |
2373.119 |
7072.465 |
460.672 |
Number of critical infrastructure customers |
0.012 |
0.011 |
0.007 |
0.216 |
0 |
0.205 |
surface with Informal human settlements |
0.30% |
0.00% |
0.10% |
12.30% |
32.40% |
12.90% |
Monthly average consumption (m3) |
17.431 |
18.656 |
19.047 |
16.555 |
10.550 |
14.713 |
Summer monthly average consumption (m3) |
19.459 |
21.058 |
21.327 |
18.805 |
11.563 |
14.807 |
Number of alternative supply sources |
0.007 |
0.006 |
0.007 |
0.007 |
0.002 |
0.004 |
Alternative supply sources volume (m3) |
13.251 |
11.126 |
13.454 |
13.468 |
4.395 |
7.624 |
Vulnerability Index |
0.313 |
0.306 |
0.303 |
0.694 |
0.702 |
0.692 |
Total Census Block |
70 |
406 |
415 |
121 |
75 |
708 |
The asterisks (*) indicate statistical significance at 1% level.
The census block belonging to the 3 clusters associated with the less vulnerable decile shares common characteristics (See Table 4): a low presence of households without drinking water access and a very low area of informal settlements. An elevated water consumption (above 17 m3 compared to the 14.5 m3 of the study area) and alternative supply sources volume above average. The socio-demographic characteristics are also similar, with ethnic and child populations below the study area's average. Meanwhile, the elderly and migrant populations are above the average in the studied territory. Although these variables should boost the vulnerability, this is probably attenuated because they belong to households with medium or high-income rates.
The main difference between the three clusters is the number and time of unscheduled shortcuts, with 674, 269, and 65 minutes of average shortcuts for the census blocks of clusters 1L, 2L, and 3L, respectively.
While interpreting each cluster’s results, it must be remembered that these clusters only consider the variables at a census block scale. Furthermore, census blocks in the same cluster but in different localities may have substantial and relevant differences, like the autonomy level of the distribution system, which affects the TWV index.
This paper makes at least three relevant contributions to fill gaps identified in the existing literature (see also section 2): (1) an analytical framework to assess water security observed in households, considering its social dimensions; (2) prove a methodological approach to conduct high-resolution analyzes that take into account the ecological, technical, and social systems of a territory; and (3) specific evidence to guide public policies in the study case, which, until now, have been scarcely studied. The discussion is organized into three parts: first, the contribution of the proposed TWV framework to broader literature; second, actionable policy recommendations derived from the results; and third, methodological limitations and directions for future research.
The analytical and methodological framework of the TWV enables the assessment of water security by identifying vulnerability drivers and interdependence across the systems present in a territory, including households, the health sector, governance actors, and ecological dynamics. By addressing the heterogeneity of urban areas, the framework supports high-resolution and integrated analyses, providing critical information to design risk-informed adaptation strategies at sub-city scales.
This approach moves beyond traditional diagnoses where water security is studied from a sectoral perspective and at the city or basin level, often assuming spatial homogeneity [16], [22]. By contrast, the TWV framework captures intra-urban disparities and recognizes the interdependence of ecological, technical, and socio-demographic dimensions. That is central to understanding water insecurity in highly unequal urban environments.
While urban water vulnerability has received increasing attention globally, very few studies in Latin America quantitatively address intra-urban dynamics. Prior work in cities such as Rio de Janeiro [33], Fortaleza [63] and La Paz [35] often lacks granular spatial resolution and does not incorporate systemic risk quantitatively. Furthermore, recent Latin American literature [5], [36] has contributed conceptually without translating these frameworks into operational tools. With the TWV analytical and methodological framework, this gap is addressed.
In addition, the flexibility of the index structure allows it to be adapted to different territorial realities and levels of data availability. This is reinforced by using a fuzzy logic-based aggregation method, which enables the inclusion of heterogeneous indicators without relying on arbitrary weighting and preserves the complexity of their relationships. This makes it particularly suitable for use in other cities. By doing so, the TWV framework contributes to academic knowledge and practical tools for territorial planning and water governance.
The application of the TWV framework to the Gran Valparaíso conurbation offers key inputs for public policy. There is an urgent need to design effective water security strategies in Chile, especially given that in 2022, 47.5% of the population lived in communes under official water scarcity decrees. The findings reveal critical policy gaps and help prioritize interventions based on localized vulnerability patterns.
Based on the census block profiles identified through cluster analysis, several adaptation measures emerge for Gran Valparaíso: increasing the autonomy and efficiency of the drinking water network, improving distribution infrastructure to reduce unscheduled outages, regularizing water access in areas currently served by cistern trucks, promoting educational programs on water efficiency, and expanding the use of alternative water sources. These actions should be tailored to each commune or neighbourhood’s specific vulnerability profiles and local conditions. Their implementation requires strong coordination between municipal governments, the water utility company, and civil society.
High-resolution data and analysis at the sub-city scale allow a deeper streamlining of adaptation within city and land use planning, a key condition to foster a more integrated and robust governance at the city level. This is particularly important in the Chilean context, where water governance has historically been fragmented across multiple public and private actors. Recent policy advances toward greater coordination and risk-sensitive infrastructure planning for water security [64] and water governance [65] can benefit from the study's findings and methodological approach.
While rooted in a specific territorial context, the results of this study offer lessons applicable to broader settings. Many urban areas in Chile and globally face similar challenges, including prolonged droughts, unequal access to water, and fragmented governance. The Gran Valparaíso case illustrates how structural factors, such as dependence on surface water, the prevalence of informal settlements, and low system redundancy, exacerbate vulnerability to climate-driven water stress. In this sense, the adaptation measures recommended here, particularly those aimed at strengthening response capacity (e.g., increasing system autonomy, diversifying supply sources, and enhancing inter-institutional coordination), can inform policy in other territories confronting similar socio-hydrological risks. In addition, urban territories facing water stress could benefit from applying the Territorial Water Vulnerability Index from an integrated socio-ecohydrological approach. The index structure's flexibility should allow the methodology's adaptation by incorporating local data and participatory processes, making it a valuable tool for territorial planning and integrated watershed management.
The analysis presented in the article relies on a significant amount of spatially disaggregated information, which is not always readily available. This data gap, coupled with the challenges in accessing relevant data, hinders the widespread application of this methodology. While the TWV framework proved effective in the Gran Valparaíso conurbation, its dependence on high-resolution data poses challenges for scaling up to larger or less data-rich regions. Broader applications require integrating diverse data sources, such as regional and national datasets, often lacking the granularity to capture localized vulnerabilities. Careful calibration would be necessary to maintain the framework's methodological robustness in larger-scale contexts.
In the Chilean context, the institutional fragmentation of water management poses a further obstacle to accessing and utilizing high-quality information for the sector. Information sources include the superintendence of water utility services, the Ministry of Public Works water department, the regional government, and household surveys. Notably, the self-reporting processes conducted by water utility companies to the superintendence lack transparency, sufficient accessibility for users, and optimal quality control of the reported data. Addressing these issues is crucial, and there is an urgent need to develop indicators estimated by robust methods that support evidence-based decision-making in water resources management. These methods must adhere to standards of credibility, legitimacy, and relevance [66].
In addition, the literature highlights the importance of characterizing two dimensions not addressed in the TWV analysis in this paper due to the lack of information: governance aspects that affect water management [23] and environmental degradation at the watershed level. Water governance was not explicitly considered due to the lack of systematized data in the Chilean context, while ecological degradation aspects affecting the whole basin fall outside the fine grid and territorial scope of the study.
Another dimension that should be characterized in a TWV analysis is the domestic dynamics of households regarding water (e.g., reuse, efficiency, special needs, and perceptual scarcity). This aspect was not addressed in the present study due to the absence of household surveys capturing such information. The only household survey with relevant data is the national census, which includes information on the origin of household water access (a variable incorporated in this study). However, this census is conducted only every ten years, complicating the monitoring and updating of water access information.
Further research should be addressed to cover these aspects and continue advancing in an integrated TWV analysis according to the analytical framework presented. First, it is necessary to evaluate the system's hazards and quantify the vulnerability of the ecological systems that sustain the water services of the study area. A nested vulnerability approach across territorial systems could also be considered, since evaluating the vulnerability of the ecological system would allow the modelling of the natural hazards impacting water services. This would enhance the current work by progressing from vulnerability quantification to risk assessment of water insecurity for exposed populations. However, this study excluded hazard assessments due to insufficient data resolution for intra-city analyses.
Expanding the TWV framework should also include evaluating additional water services such as productive, cultural, recreational, and ecosystem uses and their interrelationships. In the Chilean context, distinguishing water risk analyses for urban and rural areas is particularly important, as these rely on fundamentally different provision systems. To date, urban areas have received less attention in this regard. Nonetheless, the TWV framework is adaptable to both urban and rural territories.
To deepen the understanding of water (in)security, it is essential to complement the longitudinal assessment of risks with a cross-sectional evaluation of insecurity (see Figure 1). This approach requires analyzing equitable access to water services within the territory, considering quality and quantity dimensions, and identifying specific gaps in the present [5].
Finally, future work should include a more formal and systematic sensitivity analysis. As discussed in Section 3, the current methodology incorporates a limited sensitivity analysis through an iterative calibration process. This process involved testing different combinations of membership functions and aggregation rules to evaluate their performance regarding discrimination power, theoretical robustness, and coherence. However, future research should extend the sensitivity analysis to other parameters, including selecting variables used in the fuzzy model. Such advancements would further refine the methodology and enhance its capacity to capture the complex dynamics of water insecurity.
This work develops an analytical, methodological and applied proposal to address and evaluate territorial water vulnerability related to urban water insecurity. Therefore, a broad and flexible analytical framework based on the concept of water security and risk is used, capable of being applied to different systems (ecological, technical and sociocultural) and scales (basins, administrative units, among others), considering the complexity and variety of dimensions of water security. Then, the framework was applied to evaluate the TWV associated with providing drinking water for urban domestic use in the Gran Valparaíso conurbation of central Chile.
Sensitivity and response capacity indicators related to urban drinking water systems are evaluated across more than 10,000 census blocks using a fuzzy logic-based index. The results reveal that 4,841 out of 10,042 census blocks exceed the vulnerability threshold of 0.5, driven primarily by the interplay between low response capacity and heightened sensitivity, which drives significant vulnerability across large portions of the study area. Also, 719 have exposure index values exceeding 0.5, implying an increased water risk.
The cluster analysis identified distinct vulnerability profiles, revealing common territorial patterns that can support more efficient and equitable decision-making. Problems with water supply access, informal settlement coverage, and long unscheduled annual cuts appear as the main drivers of a high TWV index in the clusters. Recognizing these shared characteristics allows for the design of adaptation measures that respond to the specific needs of different areas, moving beyond generic, one-size-fits-all interventions.
The TWV framework not only advances academic understanding of water insecurity in complex urban settings but also provides concrete tools for policy design. Addressing the challenges identified, particularly those requiring coordination between public institutions, water utilities, and civil society, will be key to improving urban resilience to socio-hydrological risks in Chile and beyond.
This research has been developed within the Center for Climate and Resilience Research (CR2, ANID/FONDAP/1522A0002) and the research project ANID/FONDECYT/3220447.
- ,
“Water security & the global water agenda: A UN-water analytical brief” , 472013, pAvailable: https://repository.unescap.org/server/api/core/bitstreams/b8398596-67a7-47e6-9cbb-ae8e543a6a49/content - ,
“Perceptions of water insecurity from urban and peri-urban Haiti: A quantitative analysis,” ,PLoS One , Vol. vol. 14 (no. 4), :1-122019, https://doi.org/10.1371/journal.pone.0214789, pp - ,
“Urban water security indicators: Development and pilot,” ,Environ Sci Policy , Vol. vol. 83 , :33-452018, https://doi.org/10.1016/j.envsci.2018.02.003, pp - ,
“Urban water security: A review,” ,Environmental Research Letters , Vol. vol. 13 (no. 5), :142018, https://doi.org/10.1088/1748-9326/aaba52, p - ,
“Water and Energy Security in Latin America and the Caribbean: Definition and Territorial Approach for the Analysis of Gaps and Population Risks.” ,ECLAC , 1332020, pAvailable: https://repositorio.cepal.org/server/api/core/bitstreams/05363ead-c81f-4c55-a8c9-4170d4502666/content - ,
“Assessment of future water availability under climate change, considering scenarios for population growth and ageing infrastructure,” ,Journal of Water and Climate Change , Vol. vol. 10 (no. 1), :1-122019, https://doi.org/10.2166/wcc.2018.096, pp - ,
“The impact of urbanization on water vulnerability: A coupled human-environment system approach for Chennai, India,” ,Global Environmental Change , Vol. vol. 23 (no. 1), :229-2392013, https://doi.org/10.1016/j.gloenvcha.2012.10.002, pp - ,
“Four billion people facing severe water scarcity.,” ,Sci Adv , Vol. vol. 2 (no. 2), :e15003232016, https://doi.org/10.1126/sciadv.1500323 - ,
“Summary for Policymakers. In: Climate Change 2021: The Physical Science Basis. Contribution of Working Group I to the Sixth Assessment Report of the Intergovernmental Panel on Climate Change [Masson-Delmotte, V., P. Zhai, A. Pirani, S.L. Connors, C. Péan, S. Berger, N. Caud, Y. Chen, L. Goldfarb, M.I. Gomis, M. Huang, K. Leitzell, E. Lonnoy, J.B.R. Matthews, T.K. Maycock, T. Waterfield, O. Yelekçi, R. Yu, and B. Zhou (eds.)]. In Press.” , 322021, pAvailable: https://www.ipcc.ch/report/ar6/wg1/chapter/summary-for-policymakers - ,
“Summary for Policymakers [H.-O. Pörtner, D.C. Roberts, E.S. Poloczanska, K. Mintenbeck, M. Tignor, A. Alegría, M. Craig, S. Langsdorf, S. Löschke, V. Möller, A. Okem (eds.)]. In: Climate Change 2022: Impacts, Adaptation, and Vulnerability. Contribution of Working Group II to the Sixth Assessment Report of the Intergovernmental Panel on Climate Change [H.-O. Pörtner, D.C. Roberts, M. Tignor, E.S. Poloczanska, K. Mintenbeck, A. Alegría, M. Craig, S. Langsdorf, S. Löschke, V. Möller, A. Okem, B. Rama (eds.)].” , 3-332022, https://doi.org/10.1017/9781009325844.001, pp - ,
“An Integrated Framework to Streamline Resilience in the context of Urban Climate Risk Assessment,” ,Earths Future , 2021, https://doi.org/10.1029/2020ef001508 - ,
“Territorial Water Vulnerability: Analytical Framework and Applications” ,Documento de trabajo NEST-r3 , Vol. vol. N° 3 , :712021, https://doi.org/10.17605/OSF.IO/AGJ6P, p - ,
“Assessing water security in water-scarce cities: Applying the integrated urban water security index (IUWSI) in Madaba, Jordan,” ,Water (Switzerland) , Vol. vol. 12 (no. 5), 2020, https://doi.org/10.3390/W12051299 - ,
“Assessing the usefulness of the water poverty index by applying it to a special case: Can one be water poor with high levels of access?,” ,Physics and Chemistry of the Earth , Vol. vol. 34 (no. 4–5), :219-2242009, https://doi.org/10.1016/j.pce.2008.03.005, pp - ,
“Aqueduct Global Maps 2.1: Constructing decision-relevant global water risk indicators,” ,World Resources Institute , 312014, pAvailable: https://www.wri.org/research/aqueduct-global-maps-21-indicators - ,
“Perspectives of current and future urban water security in Iran,” ,J Clean Prod , Vol. vol. 321 , :1290042021, https://doi.org/10.1016/j.jclepro.2021.129004, p - ,
“An assessment of household water insecurity in a rapidly developing coastal metropolitan region of Indonesia,” ,Sustain Cities Soc , Vol. vol. 46 , :10138220182019, https://doi.org/10.1016/j.scs.2018.12.010, nop - ,
“The measurement of water scarcity: Defining a meaningful indicator,” ,Ambio , Vol. vol. 46 (no. 5), :513-5312017, https://doi.org/10.1007/s13280-017-0912-z, pp - ,
“Application of the sustainable development of energy, water and environment systems index to world cities with a normative scenario for Rio de Janeiro,” ,Journal of Sustainable Development of Energy, Water and Environment Systems , Vol. vol. 6 (no. 3), :559-6082018, https://doi.org/10.13044/j.sdewes.d6.0213, pp - ,
“Study on cloud-dust based intelligent maximum performance analysis system for power generation with solar energy,” ,SCIENTIA IRANICA , Vol. vol. 22 (no. 6), :2170-21772015, pp - ,
“Development of a generic domesticwater security index, and its application in Addis Ababa, Ethiopia,” ,Water (Switzerland) , Vol. vol. 11 (no. 1), 2018, https://doi.org/10.3390/w11010037 - ,
“Development of an objective water security index and assessment of its association with quality of life in urban areas of developing countries,” ,SSM Popul Health , Vol. vol. 6 , :276-2852018, https://doi.org/10.1016/j.ssmph.2018.10.007, nopp - ,
“Urban Water Security Dashboard: Systems Approach to Characterizing the Water Security of Cities,” ,J Water Resour Plan Manag , Vol. vol. 144 (no. 12), :1-112018, https://doi.org/10.1061/(asce)wr.1943-5452.0000997, pp - ,
“Evaluation of urban water resource security under urban expansion using a system dynamics model,” ,Water Sci Technol Water Supply , Vol. vol. 15 (no. 6), :1259-12742015, https://doi.org/10.2166/ws.2015.092, pp - ,
“Integrated assessment and scenarios simulation of urban water security system in the southwest of China with system dynamics analysis,” ,Water Science and Technology , Vol. vol. 76 (no. 9), :2255-22672017, https://doi.org/10.2166/wst.2017.333, pp - ,
“Water security: Debating an emerging paradigm,” ,Global Environmental Change , Vol. vol. 22 (no. 1), :94-1022012, https://doi.org/10.1016/j.gloenvcha.2011.10.011, pp - ,
“Opportunities for natural infrastructure to improve urban water security in Latin America,” ,PLoS One , Vol. vol. 13 (no. 12), :1-282018, https://doi.org/10.1371/journal.pone.0209470, pp - ,
“Legal geography, geography, and the research-policy nexus,” ,Geographical Research , Vol. vol. 54 (no. 3), :233-2442015, https://doi.org/10.1111/1745-5871.12159, pp - ,
“Geographies of local government,” ,Geographical Research , Vol. vol. 58 (no. 3), :304-3092020, https://doi.org/10.1111/1745-5871.12404, pp - ,
“Water security: A review of place-based research,” ,Environ Sci Policy , Vol. vol. 82 , :79-892018, https://doi.org/10.1016/j.envsci.2018.01.009, nopp - ,
“Mining and water security in northwest Mexico: a double exposure analysis,” ,Región Y Sociedad , Vol. vol. 32 , :e12952020, https://doi.org/10.22198/rys2020/32/1295, p - ,
“Water Security: Water Management in Rural Communities in the North Pacific of Costa Rica,” ,Revista de Ciencias Ambientales , Vol. vol. 53 (no. 2), :25-462019, https://doi.org/10.15359/rca.53-2.2, pp - ,
“Water security, metropolitan supply and climate change: some considerations concerning the Rio de Janeiro case,” ,Ambiente e Sociedade , Vol. vol. 23 , :1-242020, https://doi.org/10.1590/1809-4422ASOC20190207R1VU2020L6TD, pp - ,
“Characterization of Water and Energy Consumptions at the End Use Level in Rural and Urban Environments: Preliminary Results of the ENERWAT Project,” ,Urban Science , Vol. vol. 3 (no. 1), :82019, https://doi.org/10.3390/urbansci3010008, p - ,
“Hydrological Modeling Under Climate Change Scenarios for a Water Supply Reservoir in La Paz, Bolivia,” ,Investigacion & Desarrollo , Vol. vol. 21 (no. 1), :63-782021, https://doi.org/10.23881/idupbo.021.1-5i, pp - ,
“Water security challenges in Latin America and the Caribbean,” ,ECLAC , 572016, pAvailable: https://repositorio.cepal.org/server/api/core/bitstreams/c3770463-e99e-4cbe-83c4-8d9909eec5a1/content - ,
“Water for the Future: Water Security in Latin America and the Caribbean Strategy and Work Plan for the Inter-American Development Bank,” , 2072020, https://doi.org/10.18235/0002816, p - ,
“Territorial Energy Vulnerability Assessment to Enhance Just Energy Transition of Cities,” ,Frontiers in Sustainable Cities , Vol. vol. 3 , :1-192021, https://doi.org/10.3389/frsc.2021.635976, nopp - ,
“The Vulnerability Sourcebook Concept and guidelines for standardised vulnerability assessments,” , 1812017, pAvailable: https://www.researchgate.net/publication/281430219_The_Vulnerability_Sourcebook_Concept_and_guidelines_for_standardised_vulnerability_assessments - ,
“The Central Chile Mega Drought (2010–2018): A climate dynamics perspective,” ,International Journal of Climatology , Vol. vol. 40 (no. 1), :421-4392020, https://doi.org/10.1002/joc.6219, pp - ,
“Climate explorer.” , , Accessed: Sep. 05, 2022. [Online]. Available: https://explorador.cr2.cl - ,
“Water Management in the Valparaíso Region,” ,Universidad de Valparaíso , Vol. vol. 3 , :1-262020, ppAvailable: https://cidep.uv.cl - ,
“The 2010-2015 megadrought in central Chile: Impacts on regional hydroclimate and vegetation,” ,Hydrol Earth Syst Sci , Vol. vol. 21 (no. 12), :6307-63272017, https://doi.org/10.5194/hess-21-6307-2017, pp - ,
“Managing the risks of extreme events and disasters to advance climate change adaptation: Special report of the intergovernmental panel on climate change.” , 5942012, pAvailable: https://www.ipcc.ch/site/assets/uploads/2018/03/SREX_Full_Report-1.pdf - ,
“Risk Supplement to the Vulnerability Sourcebook. Guidance on how to apply the Vulnerability Sourcebook’s approach with the new IPCC AR5 concept of climate risk,” , 682017, pAvailable: https://www.adaptationcommunity.net/wp-content/uploads/2017/10/GIZ-2017_Risk-Supplement-to-the-Vulnerability-Sourcebook.pdf - ,
“Direct and indirect health impacts of climate change on the vulnerable elderly population in East China,” ,Environmental Reviews , Vol. vol. 27 (no. 3), :295-3032019, https://doi.org/10.1139/er-2017-0095, pp - ,
“Associations between high temperature, heavy rainfall, and diarrhea among young children in rural Tamil Nadu, India: A prospective cohort study,” ,Environ Health Perspect , Vol. vol. 127 (no. 4), :470042019, https://doi.org/10.1289/EHP3711, p - ,
“Water as destiny – The long-term impacts of drought in sub-Saharan Africa,” ,World Dev , Vol. vol. 115 , :30-452019, https://doi.org/10.1016/j.worlddev.2018.11.002, pp - ,
“Health Disorder of Climate Migrants in Khulna City: An Urban Slum Perspective,” ,International Migration , Vol. vol. 56 (no. 5), :42-552018, https://doi.org/10.1111/imig.12460, pp - ,
“Examining social vulnerability and inequality: A joint analysis through a connectivity lens in the urban agglomerations of China,” ,Sustainability (Switzerland) , Vol. vol. 11 (no. 4), :1-192019, https://doi.org/10.3390/su11041042, pp - ,
“Health consequences of climate change in Bangladesh: An overview of the evidence, knowledge gaps and challenges,” ,Wiley Interdiscip Rev Clim Change , Vol. vol. 10 (no. 5), :1-142019, https://doi.org/10.1002/wcc.601, pp - ,
“Water insecurity and urban poverty in the Global South: Implications for health and human biology,” ,American Journal of Human Biology , Vol. vol. 32 (no. 1), :1-122020, https://doi.org/10.1002/ajhb.23368, pp - ,
“Water-related impacts of climate change on agriculture and subsequently on public health: A review for generalists with particular reference to Pakistan,” ,Int J Environ Res Public Health , Vol. vol. 13 (no. 11), :1-162016, https://doi.org/10.3390/ijerph13111051, pp - ,
“Distributional justice in solar energy implementation in India: The case of Charanka solar park,” ,J Rural Stud , Vol. vol. 46 , :35-462016, https://doi.org/10.1016/j.jrurstud.2016.05.009, pp - ,
“Climate and health in informal urban settlements,” ,Environ Urban , Vol. vol. 27 (no. 2), :657-6782015, https://doi.org/10.1177/0956247815596502, pp - ,
“Urban growth and water access in sub-Saharan Africa: Progress, challenges, and emerging research directions,” ,Science of the Total Environment , Vol. vol. 607–608 , :497-5082017, https://doi.org/10.1016/j.scitotenv.2017.06.157, pp - ,
“The Spatial Dimensions of Crisis Management: Research Interests and Application in Quito,” ,Bulletin de l’Institut français d’études andines , Vol. vol. 38 , :893-9152009, https://doi.org/10.4000/bifea.2543, pp - ,
“Using an ensemble of regional climate models to assess climate change impacts on water scarcity in European river basins,” ,Science of the Total Environment , Vol. vol. 573 , :1503-15182016, https://doi.org/10.1016/j.scitotenv.2016.08.053, pp - ,
“Water Sensitive Cities Index: A diagnostic tool to assess water sensitivity and guide management actions,” ,Water Res , Vol. vol. 186 , :1164112020, https://doi.org/10.1016/j.watres.2020.116411, p - ,
“Fuzzy sets,” ,Information and Control , Vol. vol. 8 (no. 3), :338-3531965, https://doi.org/10.1016/S0019-9958(65)90241-X, pp - ,
“Fuzzy Logic,” ,Computer (Long Beach Calif) , Vol. vol. 21 (no. 4), :83-931988, https://doi.org/10.1109/2.53, pp - ,
“Ward’s Hierarchical Agglomerative Clustering Method: Which Algorithms Implement Ward’s Criterion?,” ,Journal of Classification , Vol. vol. 31 (no. 1), :274-2952014, https://doi.org/10.1007/s00357-014-9161-z, pp - ,
“Proposal of integrated urban waters management as a strategy to promote water security: The fortaleza case,” ,Engenharia Sanitaria e Ambiental , Vol. vol. 24 (no. 2), :239-2502019, https://doi.org/10.1590/s1413-41522019181776, pp - ,
“Water security in Chile: Characterization and future perspectives,” ,Centro de Ciencia del Clima y la Resiliencia CR2 (ANID/FONDAP/1522A0001) , 722023, pAvailable: www.cr2.cl/seguridadhidrica - ,
“Climate Governance of the Element: Towards an Integrated, anticipatory, socio-ecosystemic and evidence-based climate governance of water, air, fire and land.” ,Centro de Ciencia del Clima y la Resiliencia (CR)2, (ANID/FONDAP/15110009) , 692021, ppAvailable: www.cr2.cl/gobernanza-elementos./ - ,
“Indicators: Tools for informing, monitoring or controlling?,” ,The Tools of Policy Formulation: Actors, Capacities, Venues and Effects , 76-992015, https://doi.org/10.4337/9781783477043.00015, nopp

